leetcode-删除二叉搜索树中的节点

85 阅读2分钟

持续创作,加速成长!这是我参与「掘金日新计划 · 6 月更文挑战」的第8天,点击查看活动详情

题目描述

给定一个二叉搜索树的根节点 root 和一个值 key,删除二叉搜索树中的 key 对应的节点,并保证二叉搜索树的性质不变。返回二叉搜索树(有可能被更新)的根节点的引用。

一般来说,删除节点可分为两个步骤:

首先找到需要删除的节点; 如果找到了,删除它。  

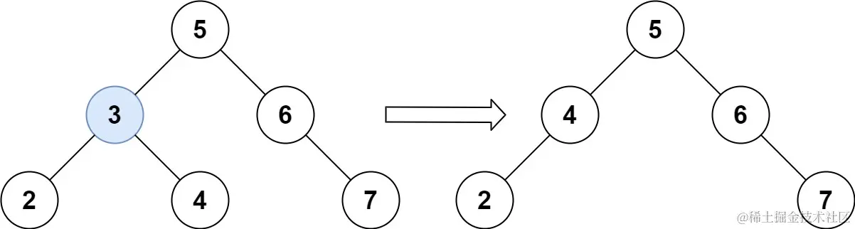
示例 1:
image.png 输入:root = [5,3,6,2,4,null,7], key = 3
输出:[5,4,6,2,null,null,7]
解释:给定需要删除的节点值是 3,所以我们首先找到 3 这个节点,然后删除它。
一个正确的答案是 [5,4,6,2,null,null,7], 如下图所示。
另一个正确答案是 [5,2,6,null,4,null,7]。
image.png

示例 2:
输入: root = [5,3,6,2,4,null,7], key = 0
输出: [5,3,6,2,4,null,7]
解释: 二叉树不包含值为 0 的节点

示例 3:
输入: root = [], key = 0
输出: []

思路

数据结构的题目,主要是利用好搜索二叉树的性质:root左子树的值都小于val,root右子树的值都大于val。所以我们查找要删除的节点的过程就类似于二分,每次都能决定接下来可以在左子树找,还是在右子树找。如果未找到,那么返回原始root,接下来我们讨论一下怎么删除找到的node,有如下几种情况

  1. node是叶子节点
  2. node只有左子树
  3. node只有右子树
  4. node既有左子树,又有右子树 情况1,我们直接删除node; 情况2,我们用右子树替代node位置 情况3,我们用左子树替代node位置 情况4,删除node后,要把左右子树合并,再替代node的位置。根据搜索二叉树的性质,我们在左右子树中,有2种方式最快替代node
  5. 左子树的根节点替换node,然后把右子树挂到左子树的最大节点(最右节点)的右子树
  6. 右子树的根节点替换node,然后把左子树挂到右子树的最小节点(最左节点)的左子树 2种方法是对称的,任选其一即可。

Java版本代码

class Solution {
    public TreeNode deleteNode(TreeNode root, int key) {
        if (root == null) {
            return null;
        }
        int val = root.val;
        if (key < val) {
            root.left = deleteNode(root.left, key);
        } else if (key > val) {
            root.right = deleteNode(root.right, key);
        } else {
            if (root.left == null) {
                return root.right;
            } else if (root.right == null) {
                return root.left;
            } else {
                TreeNode node = root.right;
                while (node.left != null) {
                    node = node.left;
                }
                node.left = root.left;
                return root.right;
            }
        }
        return root;
    }
}