450. 删除二叉搜索树中的节点 : 简单递归运用题

818 阅读4分钟

持续创作,加速成长!这是我参与「掘金日新计划 · 6 月更文挑战」的第9天,点击查看活动详情

题目描述

这是 LeetCode 上的 450. 删除二叉搜索树中的节点 ,难度为 中等

Tag : 「递归」、「BST」

给定一个二叉搜索树的根节点 root 和一个值 key,删除二叉搜索树中的 key 对应的节点,并保证二叉搜索树的性质不变。返回二叉搜索树(有可能被更新)的根节点的引用。

一般来说,删除节点可分为两个步骤:

  • 首先找到需要删除的节点;
  • 如果找到了,删除它。

示例 1:

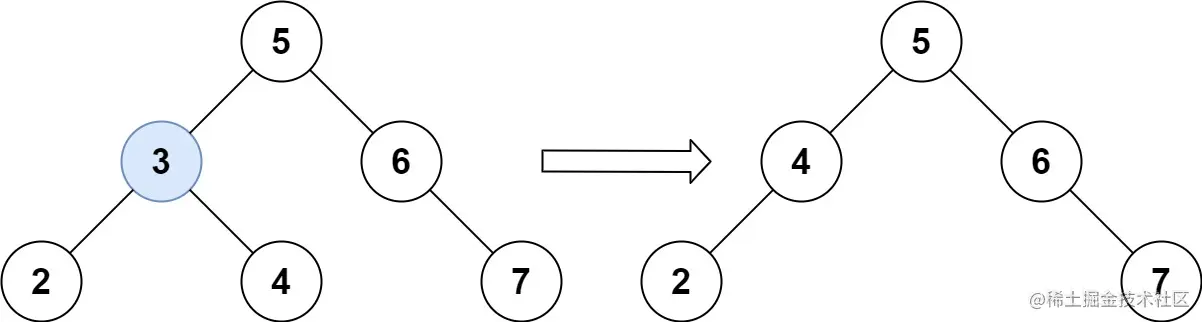
输入:root = [5,3,6,2,4,null,7], key = 3

输出:[5,4,6,2,null,null,7]

解释:给定需要删除的节点值是 3,所以我们首先找到 3 这个节点,然后删除它。
一个正确的答案是 [5,4,6,2,null,null,7], 如下图所示。

另一个正确答案是 [5,2,6,null,4,null,7]。

示例 2:

输入: root = [5,3,6,2,4,null,7], key = 0

输出: [5,3,6,2,4,null,7]

解释: 二叉树不包含值为 0 的节点

示例 3:

输入: root = [], key = 0

输出: []

提示:

  • 节点数的范围 [0,104][0, 10^4]
  • 105 <=Node.val<=105-10^5 <= Node.val <= 10^5
  • 节点值唯一
  • root 是合法的二叉搜索树
  • 105 <=key<=105-10^5 <= key <= 10^5

进阶: 要求算法时间复杂度为 O(h)O(h)hh 为树的高度。

递归

利用题目本身的函数签名的含义,也就是「在以 root 为根的子树中,删除值为 key 的节点,并返回删除节点后的树的根节点」,我们可以用「递归」来做。

起始先对边界情况进行处理,当 root 为空(可能起始传入的 root 为空,也可能是递归过程中没有找到值为 key 的节点时,导致的 root 为空),我们无须进行任何删除,直接返回 null 即可。

根据当前 root.valkey 的大小关系,进行分情况讨论:

  1. 若有 root.val<keyroot.val < key,说明待删除的节点必然不是当前节点,以及不在当前节点的左子树中,我们将删除动作「递归」到当前节点的右子树,并将删除(可能进行)之后的新的右子树根节点,重新赋值给 root.right,即有 root.right = deleteNode(root.right, key)
  2. 若有 root.val>keyroot.val > key,说明待删除的节点必然不是当前节点,以及不在当前节点的右子树,我们将删除节点「递归」到当前节点的左子树,并将删除(可能进行)之后的新的左子树根节点,重新赋值给 root.left,即有 root.left = deleteNode(root.left, key)
  3. 若有 root.val=keyroot.val = key,此时找到了待删除的节点,我们根据左右子树的情况,进行进一步分情况讨论:
    • 若左/右子树为空,我们直接返回右/左子树节点即可(含义为直接将右/左子树节点搬到当前节点的位置)如图所示: image.png

    • 若左右子树均不为空,我们有两种选择:

      • 从「当前节点的左子树」中选择「值最大」的节点替代 root 的位置,确保替代后仍满足 BST 特性;
      • 从「当前节点的右子树」中选择「值最小」的节点替代 root 的位置,确保替代后仍满足 BST 特性;

      我们以「从当前节点的左子树中选择值最大的节点」为例子,我们通过树的遍历,找到其位于「最右边」的节点,记为 tttt 作为最右节点,必然有 t.right = null),利用原本的 root 也是合法 BST,原本的 root.right 子树的所有及节点,必然满足大于 t.val,我们可以直接将 root.right 接在 t.right 上,并返回我们重接后的根节点,也就是 root.left

      image.png

      而「从当前节点的右子树中选择值最小的节点」,同理(代码见 P2P2)。

代码:

class Solution {
    public TreeNode deleteNode(TreeNode root, int key) {
        if (root == null) return null;
        if (root.val == key) {
            if (root.left == null) return root.right;
            if (root.right == null) return root.left;
            TreeNode t = root.left;
            while (t.right != null) t = t.right;
            t.right = root.right;
            return root.left;
        } else if (root.val < key) root.right = deleteNode(root.right, key);
        else root.left = deleteNode(root.left, key);
        return root;
    }
}
class Solution {
    public TreeNode deleteNode(TreeNode root, int key) {
        if (root == null) return null;
        if (root.val == key) {
            if (root.left == null) return root.right;
            if (root.right == null) return root.left;
            TreeNode t = root.right;
            while (t.left != null) t = t.left;
            t.left = root.left;
            return root.right;
        } else if (root.val < key) root.right = deleteNode(root.right, key);
        else root.left = deleteNode(root.left, key);
        return root;
    }
}
  • 时间复杂度:O(h)O(h),其中 hh 为树的深度
  • 空间复杂度:忽略递归带来的额外空间消耗,复杂度为 O(1)O(1)

最后

这是我们「刷穿 LeetCode」系列文章的第 No.450 篇,系列开始于 2021/01/01,截止于起始日 LeetCode 上共有 1916 道题目,部分是有锁题,我们将先把所有不带锁的题目刷完。

在这个系列文章里面,除了讲解解题思路以外,还会尽可能给出最为简洁的代码。如果涉及通解还会相应的代码模板。

为了方便各位同学能够电脑上进行调试和提交代码,我建立了相关的仓库:github.com/SharingSour…

在仓库地址里,你可以看到系列文章的题解链接、系列文章的相应代码、LeetCode 原题链接和其他优选题解。