「LeetCode」654-最大二叉树⚡️

116 阅读3分钟

持续创作,加速成长!这是我参与「掘金日新计划 · 6 月更文挑战」的第9天,点击查看活动详情

大家好,我是速冻鱼🐟,一条水系前端💦,喜欢花里胡哨💐,持续沙雕🌲
欢迎小伙伴们加我微信sudongyuer拉你进群
关注我的公众号:前端速冻鱼一起进步,期待与大家共同成长🥂

前言🌧️

算法,对前端人来说陌生又熟悉,很多时候我们都不会像后端工程师一样重视这项能力。但事实上,算法对每一个程序员来说,都有着不可撼动的地位。

因为开发的过程就是把实际问题转换成计算机可识别的指令,也就是《数据结构》里说的,「设计出数据结构,在施加以算法就行了」。

编写指令的好坏,会直接影响到程序的性能优劣,而指令又由数据结构和算法组成,所以数据结构和算法的设计基本上决定了最终程序的好坏

题目🦀

654. 最大二叉树

难度中等

给定一个不重复的整数数组 nums最大二叉树 可以用下面的算法从 nums 递归地构建:

  1. 创建一个根节点,其值为 nums 中的最大值。
  2. 递归地在最大值 左边子数组前缀上 构建左子树。
  3. 递归地在最大值 右边子数组后缀上 构建右子树。

返回 nums 构建的 *最大二叉树*

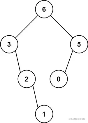
示例 1:

img

输入:nums = [3,2,1,6,0,5]
输出:[6,3,5,null,2,0,null,null,1]
解释:递归调用如下所示:
- [3,2,1,6,0,5] 中的最大值是 6 ,左边部分是 [3,2,1] ,右边部分是 [0,5] 。
    - [3,2,1] 中的最大值是 3 ,左边部分是 [] ,右边部分是 [2,1] 。
        - 空数组,无子节点。
        - [2,1] 中的最大值是 2 ,左边部分是 [] ,右边部分是 [1] 。
            - 空数组,无子节点。
            - 只有一个元素,所以子节点是一个值为 1 的节点。
    - [0,5] 中的最大值是 5 ,左边部分是 [0] ,右边部分是 [] 。
        - 只有一个元素,所以子节点是一个值为 0 的节点。
        - 空数组,无子节点。

示例 2:

img

输入:nums = [3,2,1]
输出:[3,null,2,null,1]

提示:

  • 1 <= nums.length <= 1000
  • 0 <= nums[i] <= 1000
  • nums 中的所有整数 互不相同

解题思路🌵

  • 此题采用前序遍历可求解
  • 是分而治之的思想
  • 每次递归都获取当前数组中的最大值作为根结点的值
  • 再一次递归求解左子树和右子树
  • 最后返回当前结点

解题步骤🐂

  • 处理边界情况返回null
  • 获取当前数组中的最大值的下标
  • 创建根结点并将值赋值为数组中的最大值
  • 再一次递归求解左子树和右子树
  • 并返回根结点

源码🔥

/**
 * @param {number} n
 * @return {number}
 */
var fib = function(n) {
    const dp=[0,1]
    for(let i=2;i<=n;i++){
        dp[i]=dp[i-1]+dp[i-2]
    }
    return dp[n]
};

时间复杂度:O(n)

空间复杂度:O(1)

结束语🌞

那么鱼鱼的LeetCode算法篇的「LeetCode」654-最大二叉树⚡️ 就结束了,算法这个东西没有捷径,只能多写多练,多总结,文章的目的其实很简单,就是督促自己去完成算法练习并总结和输出,菜不菜不重要,但是热爱🔥,喜欢大家能够喜欢我的短文,也希望通过文章认识更多志同道合的朋友,如果你也喜欢折腾,欢迎加我好友,一起沙雕,一起进步

github🤖:sudongyu

个人博客👨‍💻:速冻鱼blog

vx👦:sudongyuer

写在最后

伙伴们,如果喜欢我的口水话给🐟🐟点一个赞👍或者关注➕都是对我最大的支持。