力扣链表相交

68 阅读2分钟

文章目录

题目

给你两个单链表的头节点 headA 和 headB ,请你找出并返回两个单链表相交的起始节点。如果两个链表没有交点,返回 null 。

图示两个链表在节点 c1 开始相交:

在这里插入图片描述
题目数据 保证 整个链式结构中不存在环。

注意,函数返回结果后,链表必须 保持其原始结构 。
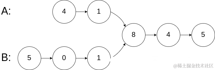
示例 1:
在这里插入图片描述
输入:intersectVal = 8, listA = [4,1,8,4,5], listB = [5,0,1,8,4,5], skipA = 2, skipB = 3
输出:Intersected at ‘8’
解释:相交节点的值为 8 (注意,如果两个链表相交则不能为 0)。
从各自的表头开始算起,链表 A 为 [4,1,8,4,5],链表 B 为 [5,0,1,8,4,5]。
在 A 中,相交节点前有 2 个节点;在 B 中,相交节点前有 3 个节点。

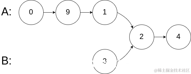
示例 2:
在这里插入图片描述
输入:intersectVal = 2, listA = [0,9,1,2,4], listB = [3,2,4], skipA = 3, skipB = 1
输出:Intersected at ‘2’
解释:相交节点的值为 2 (注意,如果两个链表相交则不能为 0)。
从各自的表头开始算起,链表 A 为 [0,9,1,2,4],链表 B 为 [3,2,4]。
在 A 中,相交节点前有 3 个节点;在 B 中,相交节点前有 1 个节点。

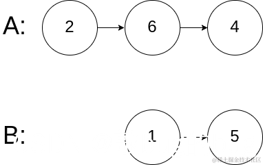
示例 3:
在这里插入图片描述
输入:intersectVal = 0, listA = [2,6,4], listB = [1,5], skipA = 3, skipB = 2
输出:null
解释:从各自的表头开始算起,链表 A 为 [2,6,4],链表 B 为 [1,5]。
由于这两个链表不相交,所以 intersectVal 必须为 0,而 skipA 和 skipB 可以是任意值。
这两个链表不相交,因此返回 null 。
提示:

listA 中节点数目为 m
listB 中节点数目为 n
0 <= m, n <= 3 * 104
1 <= Node.val <= 105
0 <= skipA <= m
0 <= skipB <= n
如果 listA 和 listB 没有交点,intersectVal 为 0
如果 listA 和 listB 有交点,intersectVal == listA[skipA + 1] == listB[skipB + 1]

进阶:你能否设计一个时间复杂度 O(n) 、仅用 O(1) 内存的解决方案?

思路

首先读完题,由题意可知求的是两个链表指针相等,故我们先让curA为最长链表的头,lenA为其长度,通过长度差,让curA和curB在同一起点上,末尾位置对齐,然后遍历curA和curB,若相同,则直接返回curA

代码

/**
 * Definition for singly-linked list.
 * public class ListNode {
 *     int val;
 *     ListNode next;
 *     ListNode(int x) {
 *         val = x;
 *         next = null;
 *     }
 * }
 */
public class Solution {
    public ListNode getIntersectionNode(ListNode headA, ListNode headB) {
        ListNode curA = headA;
        ListNode curB = headB;
        int lenA = 0,lenB = 0;
        while(curA != null){
            lenA++;
            curA = curA.next;
        }
        while(curB != null){
            lenB++;
            curB = curB.next;
        }
        curA = headA;
        curB = headB;
        if(lenB>lenA){
            int templen = lenA;
            lenA = lenB;
            lenB = templen;
            ListNode tempNode = curA;
            curA = curB;
            curB = tempNode;
        }
        int a = lenA - lenB;
        while(a-->0){
            curA = curA.next;
        }
        while(curA!=null){
            if(curA == curB){
                return curA;
            }
            curA = curA.next;
            curB = curB.next;
        }
        return null;

    }
}