力扣删除链表的倒数第N个节点

120 阅读1分钟

文章目录

题目

给你一个链表,删除链表的倒数第 n 个结点,并且返回链表的头结点。
示例 1:
在这里插入图片描述
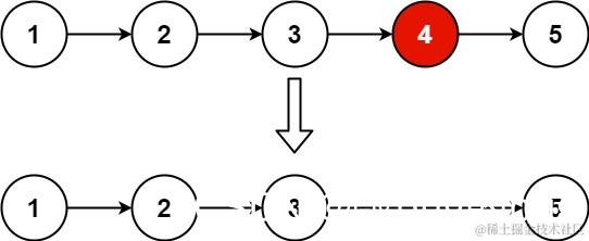
输入:head = [1,2,3,4,5], n = 2
输出:[1,2,3,5]
示例 2:

输入:head = [1], n = 1
输出:[]
示例 3:

输入:head = [1,2], n = 1
输出:[1]

提示:

链表中结点的数目为 sz
1 <= sz <= 30
0 <= Node.val <= 100
1 <= n <= sz

进阶:你能尝试使用一趟扫描实现吗?

思路

删除倒数第N个节点,我们可以想到之前用快慢指针做的类似题目,我们可以用一个fast指针,使其走到第N+1个位置,然后令其在走到null时,慢指针走到第N-1个位置,进而删除倒数第N个节点,其次考虑到虚拟头节点
如图
首先定义虚拟头节点,并令快慢指针指向头节点
在这里插入图片描述
让fast移动N+1个位置
在这里插入图片描述
fast和slow指针同时移动,直至fast指向为空
在这里插入图片描述
最后删除倒数第N个节点

在这里插入图片描述
为什么fast要走N+1个位置,比如链表长度为M,在slow和fast同时走的时候,fast走了M-N步到null,slow同样走了M-N步,刚好时倒数第N个节点的前一个节点

代码

/**
 * Definition for singly-linked list.
 * public class ListNode {
 *     int val;
 *     ListNode next;
 *     ListNode() {}
 *     ListNode(int val) { this.val = val; }
 *     ListNode(int val, ListNode next) { this.val = val; this.next = next; }
 * }
 */
class Solution {
    public ListNode removeNthFromEnd(ListNode head, int n) {
        ListNode dummy = new ListNode(-1);
        dummy.next = head;
        ListNode fast = dummy;
        ListNode slow = dummy;
        while(n-->0){
            fast = fast.next;
        }
        ListNode pre = null;
        while(fast!=null){
            pre = slow;
            slow = slow.next;
            fast = fast.next;
        }
        pre.next = slow.next;
        slow.next = null;
        return dummy.next;

    }
}