力扣两两交换链表中的节点

97 阅读1分钟

文章目录

题目

给你一个链表,两两交换其中相邻的节点,并返回交换后链表的头节点。你必须在不修改节点内部的值的情况下完成本题(即,只能进行节点交换)。

示例 1:
在这里插入图片描述
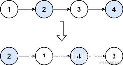
输入:head = [1,2,3,4]
输出:[2,1,4,3]
示例 2:

输入:head = []
输出:[]
示例 3:

输入:head = [1]
输出:[1]

提示:

链表中节点的数目在范围 [0, 100] 内
0 <= Node.val <= 100

思路

不修改节点内部的值,只能节点交换,就想数组我们想到双指针,链表我们条件反射想到虚拟头节点
在这里插入图片描述
如图操作,让cur指向虚拟头节点使其达到下面这张图
在这里插入图片描述
重点是脑子有一个动态图,不懂也没关系,看看我代码写的注释,结合上面图一起看。

代码

/**
 * Definition for singly-linked list.
 * public class ListNode {
 *     int val;
 *     ListNode next;
 *     ListNode() {}
 *     ListNode(int val) { this.val = val; }
 *     ListNode(int val, ListNode next) { this.val = val; this.next = next; }
 * }
 */
class Solution {
    public ListNode swapPairs(ListNode head) {
        ListNode dummyNode = new ListNode(0);//设置虚拟头节点
        dummyNode.next = head;//让虚拟头节点指向头节点
        ListNode pre = dummyNode;
        //另存一个循环控制节点,赋值为虚拟头节点
        while(pre.next != null&&pre.next.next != null){
        //当控制节点后面节点及后面的后面节点不为空,循环就继续
            ListNode temp = head.next.next;
            //设置一个节点存储头节点后面节点的后面节点
            //为思路中图的步骤三做铺垫
            pre.next = head.next;   //步骤一
         
            head.next.next = head;//步骤二
            
            head.next = temp;//步骤三
            
            pre = head;//一次循环后往后
            head = head.next;
        }
        return dummyNode.next;//虚拟头节点没变

    }
}