力扣翻转链表【双指针】【递归】【从后向前递归】

216 阅读2分钟

文章目录

题目

给你单链表的头节点 head ,请你反转链表,并返回反转后的链表。
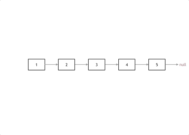
示例 1:
在这里插入图片描述
输入:head = [1,2,3,4,5]
输出:[5,4,3,2,1]
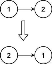
示例 2:
在这里插入图片描述
输入:head = [1,2]
输出:[2,1]
示例 3:

输入:head = []
输出:[]

提示:

链表中节点的数目范围是 [0, 5000]
-5000 <= Node.val <= 5000

进阶:链表可以选用迭代或递归方式完成反转。你能否用两种方法解决这道题?

思路

在这里插入图片描述
如图,反转链表不需要重新定义一个链表浪费空间,只需要通过指针完成反转,我们可以想到从前往后和从后往前两种方式,那么从前往后双指针由图·可知,我们需定义一个cur指针用于循环条件,用一个pre指针,实现指针反转,还需一个temp指针,暂时保存下一个节点,一般我们在处理一个有用节点本身值有用但要被赋值时,均会想到先将他本身值赋给另一个变量,在自己被赋值。所以,我们在while循环,先将cur.next赋值给temp,在将pre赋值给cur.next,在将cur值赋值给pre,最后再将temp值赋给cur.递归底层逻辑一样,不断将cur指向pre,注意递归终止条件:cur == null

从前向后

双指针

/**
 * Definition for singly-linked list.
 * public class ListNode {
 *     int val;
 *     ListNode next;
 *     ListNode() {}
 *     ListNode(int val) { this.val = val; }
 *     ListNode(int val, ListNode next) { this.val = val; this.next = next; }
 * }
 */
class Solution {
    public ListNode reverseList(ListNode head) {
        ListNode cur = head;
        ListNode pre = null;
        ListNode temp = null;
        while(cur!=null){
            temp = cur.next;
            cur.next = pre;
            pre = cur;
            cur = temp;
        }
        return pre;

    }
}

递归

/**
 * Definition for singly-linked list.
 * public class ListNode {
 *     int val;
 *     ListNode next;
 *     ListNode() {}
 *     ListNode(int val) { this.val = val; }
 *     ListNode(int val, ListNode next) { this.val = val; this.next = next; }
 * }
 */
class Solution {
    public ListNode reverseList(ListNode head) {
        return reverse(null,head);
        }
        private ListNode reverse(ListNode pre,ListNode cur){
        if(cur == null){
            return pre;
        }
        ListNode temp = null;
        temp = cur.next;
        cur.next = pre;
       return reverse(cur,temp);

    }
}

从后向前递归

/**
 * Definition for singly-linked list.
 * public class ListNode {
 *     int val;
 *     ListNode next;
 *     ListNode() {}
 *     ListNode(int val) { this.val = val; }
 *     ListNode(int val, ListNode next) { this.val = val; this.next = next; }
 * }
 */
class Solution {
    public ListNode reverseList(ListNode head) {
       if(head == null)return null;
       if(head.next == null)return head;
       ListNode last = reverseList(head.next);
       head.next.next = head;
       head.next = null;
       return last;

    }
}