力扣移除链表元素

81 阅读1分钟

文章目录

前言

单链表
在这里插入图片描述
双链表
在这里插入图片描述
循环链表
在这里插入图片描述
链表是通过指针域的指针链接在内存中各个节点。

所以链表中的节点在内存中不是连续分布的 ,而是散乱分布在内存中的某地址上,分配机制取决于操作系统的内存管理。

题目

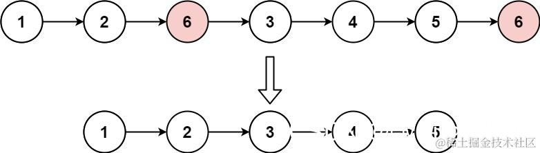
给你一个链表的头节点 head 和一个整数 val ,请你删除链表中所有满足 Node.val == val 的节点,并返回 新的头节点 。

在这里插入图片描述
输入:head = [1,2,6,3,4,5,6], val = 6
输出:[1,2,3,4,5]
示例 2:

输入:head = [], val = 1
输出:[]
示例 3:

输入:head = [7,7,7,7], val = 7
输出:[]

提示:

列表中的节点数目在范围 [0, 104] 内
1 <= Node.val <= 50
0 <= val <= 50

思路

若按常规链表移除思路,头节点的移除要单独考虑,但若设一个虚拟头节点,便可以不用单独考虑头节点的移除,注意c需要删除释放空间,而Java,python不需手动管理内存

代码(Java)

//常规思路
/**
 * Definition for singly-linked list.
 * public class ListNode {
 *     int val;
 *     ListNode next;
 *     ListNode() {}
 *     ListNode(int val) { this.val = val; }
 *     ListNode(int val, ListNode next) { this.val = val; this.next = next; }
 * }
 */
class Solution {
    public ListNode removeElements(ListNode head, int val) {
        while(head != null&&head.val == val){
            head = head.next;
        }
        if(head == null){
            return head;
        }
       ListNode pre = head;
       ListNode cur = head.next;
       while(cur!=null){
           if(cur.val == val){
               pre.next = cur.next;
           }
           else pre = cur;
           cur = cur.next;
       }
       return head;
    }
}
//设置虚拟头节点
/**
 * Definition for singly-linked list.
 * public class ListNode {
 *     int val;
 *     ListNode next;
 *     ListNode() {}
 *     ListNode(int val) { this.val = val; }
 *     ListNode(int val, ListNode next) { this.val = val; this.next = next; }
 * }
 */
class Solution {
    public ListNode removeElements(ListNode head, int val) {
        if(head == null){
            return head;
        }
        ListNode dummy = new ListNode(-1,head);
        ListNode pre = dummy;
        ListNode cur = head;
        while(cur != null){
            if(cur.val == val){
                pre.next = cur.next;
            }
            else pre = cur;
            cur = cur.next;

        }
        return dummy.next;
    }
}