☆打卡算法☆LeetCode 141. 环形链表 算法解析

127 阅读2分钟

持续创作,加速成长!这是我参与「掘金日新计划 · 6 月更文挑战」的第7天,点击查看活动详情

推荐阅读

大家好,我是小魔龙,Unity3D软件工程师,VR、AR,虚拟仿真方向,不定时更新软件开发技巧,生活感悟,觉得有用记得一键三连哦。

一、题目

1、算法题目

“给定一个链表的头节点,判断链表中是否有环。”

题目链接:

来源:力扣(LeetCode)

链接: 141. 环形链表 - 力扣(LeetCode)

2、题目描述

给你一个链表的头节点 head ,判断链表中是否有环。

如果链表中有某个节点,可以通过连续跟踪 next 指针再次到达,则链表中存在环。 为了表示给定链表中的环,评测系统内部使用整数 pos 来表示链表尾连接到链表中的位置(索引从 0 开始)。注意:pos 不作为参数进行传递 。仅仅是为了标识链表的实际情况。

如果链表中存在环 ,则返回 true 。 否则,返回 false 。

image.png

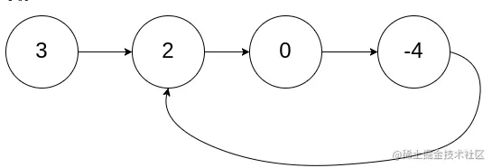
示例 1:
输入: head = [3,2,0,-4], pos = 1
输出: true
解释: 链表中有一个环,其尾部连接到第二个节点。
示例 2:
输入: head = [1,2], pos = 0
输出: true
解释: 链表中有一个环,其尾部连接到第一个节点。

二、解题

1、思路分析

这道题可以遍历所有节点,然后遍历到一个节点后,判断该节点是否被访问过。

记录节点是否被访问过,可以使用哈希表,每次到达一个节点,如果节点存在于哈希表,则说明该链表是环形链表。

否则,就将该节点加入到哈希表中,重复这一过程,直到遍历完整个链表。

2、代码实现

代码参考:

public class Solution {
    public boolean hasCycle(ListNode head) {
        Set<ListNode> seen = new HashSet<ListNode>();
        while (head != null) {
            if (!seen.add(head)) {
                return true;
            }
            head = head.next;
        }
        return false;
    }
}

image.png

3、时间复杂度

时间复杂度:O(N)

其中N是链表中的节点数。

空间复杂度:O(N)

其中N是链表中的节点数,空间的开销主要是哈希表的开销,最坏的情况下需要将每个节点都插入到哈希表一次。

三、总结

这道题还可以使用双指针,用快慢指针,快指针每次走两步,慢指针每次走一步。 当快指针追上慢指针则表示有环。

如果快指针指向null,这说明链表没环。