「LeetCode」109-有序链表转换二叉搜索树⚡️

108 阅读2分钟

持续创作,加速成长!这是我参与「掘金日新计划 · 6 月更文挑战」的第8天,点击查看活动详情

大家好,我是速冻鱼🐟,一条水系前端💦,喜欢花里胡哨💐,持续沙雕🌲,是隔壁寒草🌿的好兄弟,刚开始写文章。 如果喜欢我的文章,可以关注➕点赞,为我注入能量,与我一同成长吧~

前言🌧️

算法,对前端人来说陌生又熟悉,很多时候我们都不会像后端工程师一样重视这项能力。但事实上,算法对每一个程序员来说,都有着不可撼动的地位。

因为开发的过程就是把实际问题转换成计算机可识别的指令,也就是《数据结构》里说的,「设计出数据结构,在施加以算法就行了」。

编写指令的好坏,会直接影响到程序的性能优劣,而指令又由数据结构和算法组成,所以数据结构和算法的设计基本上决定了最终程序的好坏

题目🦀

109. 有序链表转换二叉搜索树

难度中等

给定一个单链表的头节点 head ,其中的元素 按升序排序 ,将其转换为高度平衡的二叉搜索树。

本题中,一个高度平衡二叉树是指一个二叉树每个节点 的左右两个子树的高度差不超过 1。

示例 1:

img

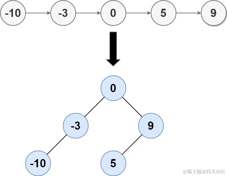
输入: head = [-10,-3,0,5,9]
输出: [0,-3,9,-10,null,5]
解释: 一个可能的答案是[0,-3,9,-10,null,5],它表示所示的高度平衡的二叉搜索树。

示例 2:

输入: head = []
输出: []

提示:

  • head 中的节点数在[0, 2 * 104] 范围内
  • -105 <= Node.val <= 105

解题思路🌵

  • 由于是二叉搜索树
  • 按照二叉搜索树的特点,数组中的中间元素应该为树的根结点
  • 依次递归
  • 和数组的区别就是,需要使用双指针来找到中间结点

解题步骤🐂

  • 处理边界条件
  • 获取链表的中间结点值
  • 创建根结点
  • 递归调用函数分别创建root.left root.right

源码🔥

/**
 * Definition for singly-linked list.
 * function ListNode(val, next) {
 *     this.val = (val===undefined ? 0 : val)
 *     this.next = (next===undefined ? null : next)
 * }
 */
/**
 * Definition for a binary tree node.
 * function TreeNode(val, left, right) {
 *     this.val = (val===undefined ? 0 : val)
 *     this.left = (left===undefined ? null : left)
 *     this.right = (right===undefined ? null : right)
 * }
 */
/**
 * @param {ListNode} head
 * @return {TreeNode}
 */
var sortedListToBST = function(head) {
    if(!head){
        return head
    }

    const travel = (head,tail)=>{
         //边界条件
        if(head===tail){
            console.log(head,tail)
            return null
        }
        //找到中间结点
        let slow = fast = head
        while(fast!==tail && fast.next !==tail){
            slow=slow.next
            fast=fast.next.next
        }
        const root = new TreeNode(slow.val)
        root.left = travel(head,slow)
        root.right = travel(slow.next,tail)
        return root
    }

    return travel(head,null)
};

时间复杂度:O(n)

空间复杂度:O(1)

结束语🌞

那么鱼鱼的LeetCode算法篇的「LeetCode」109-有序链表转换二叉搜索树⚡️ 就结束了,算法这个东西没有捷径,只能多写多练,多总结,文章的目的其实很简单,就是督促自己去完成算法练习并总结和输出,菜不菜不重要,但是热爱🔥,喜欢大家能够喜欢我的短文,也希望通过文章认识更多志同道合的朋友,如果你也喜欢折腾,欢迎加我好友,一起沙雕,一起进步

github🤖:sudongyu

个人博客👨‍💻:速冻鱼blog

vx👦:sudongyuer

写在最后

伙伴们,如果喜欢我的口水话给🐟🐟点一个赞👍或者关注➕都是对我最大的支持。