ACM 选手图解 LeetCode 验证二叉搜索树(递归 + 非递归)

314 阅读2分钟

持续创作,加速成长!这是我参与「掘金日新计划 · 6 月更文挑战」的第2天,点击查看活动详情


大家好呀,我是搜索蛋。

今天解决验证二叉搜索树,通过这道题,我们来看如何证明一棵二叉树是二叉搜索树。

碰到这种问题不要慌,从二叉搜索树性质入手,保准可以找到解决办法。

下面让我们一起来解决掉它!

0

LeetCode 98:验证二叉搜索树

题意

给你一个二叉树的根节点 root,判断其是否是一个有效的二叉搜索树。

示例

输入:root = [2,1,3] 输出:true

1

提示

  • 树中节点数目范围在 [1,10^4] 内。
  • -2^31 <= Node.val <= 2^31 - 1。

题目解析

二叉搜索树的经典题目,难度中等。

验证一棵二叉树是不是二叉搜索树,其实就看它符不符合二叉搜索树的性质,符合那就是二叉搜索树,不符合那就不是。

bq1

是我在【二叉搜索树】的文章中写过,二叉搜索树拥有一个性质:对二叉搜索树进行中序遍历时,得到的结果是一个有序的序列

比如对于下面这张图:

9

最左侧二叉搜索树遍历结果是:

10

所以,解决这道题其实就成了:

验证对应二叉搜索树中序遍历后的序列是否为有序数列,如果有序,则是二叉搜索树。

bq2

递归法

验证二叉搜索树的递归法其实就是二叉树中序遍历的递归法。

ACM 选手带你玩转二叉树前中后序遍历(递归版)

但凡是递归我们就分为两步来看:

(1) 找出重复的子问题。

中序遍历的顺序是:左子树、根、右子树。

对于左子树、右子树来说,也是同样的遍历顺序。

所以这个重复的子问题就是:先遍历左子树、再取根节点,最后遍历右子树

inOrder(root.left)
print(root.val)
inOrder(root.right)

(2) 确定终止条件。

和前序遍历相同,就是当前的节点为空,空的没啥好遍历的。

if root == None:
    return 

最重要的两点确定完了,然后代码基本上就出来。

最后记得在主函数中做有序序列的判断即可。

Python 代码实现

# Definition for a binary tree node.
# class TreeNode:
#     def __init__(self, val=0, left=None, right=None):
#         self.val = val
#         self.left = left
#         self.right = right
class Solution:
    # 中序遍历
    def inOrder(self, root: TreeNode, res):
        if root == None:
            return
        self.inOrder(root.left, res)
        res.append(root.val)
        self.inOrder(root.right, res)
​
​
    def isValidBST(self, root: TreeNode) -> bool:
        res = []
        self.inOrder(root, res)
        # 判断 res 是否有序
        for i in range(1, len(res)):
            if num[i] <= nums[i - 1]:
                return False
        return True

Java 代码实现

# Definition for a binary tree node.
# class TreeNode:
#     def __init__(self, val=0, left=None, right=None):
#         self.val = val
#         self.left = left
#         self.right = right
class Solution:
    # 中序遍历
    def inOrder(self, root: TreeNode, res):
        if root == None:
            return
        self.inOrder(root.left, res)
        res.append(root.val)
        self.inOrder(root.right, res)
​
​
    def isValidBST(self, root: TreeNode) -> bool:
        res = []
        self.inOrder(root, res)
        # 判断 res 是否有序
        for i in range(1, len(res)):
            if num[i] <= nums[i - 1]:
                return False
        return True

此解法,由于每个节点被遍历一次,所以时间复杂度为 O(n)

此外在递归过程中调用了额外的栈空间,维护了一个 res 的结果数组,所以空间复杂度为 O(n)

非递归法(迭代)

对于中序遍历而言,访问节点的顺序和处理节点的顺序是不一致的,并且,处理节点是在遍历完左子树之后

直白点就是:从根节点开始,一层层的遍历,找到左子树最左的那个节点,从它开始处理节点。

例如下图中的 H 节点。

11

常规的中序遍历具体步骤如下所示:

  • 初始化一个空栈。
  • 当【根节点不为空】或者【栈不为空】时,从根节点开始
    • 若当前节点有左子树,一直遍历左子树,每次将当前节点压入栈中。
    • 若当前节点无左子树,从栈中弹出该节点,尝试访问该节点的右子树。

在我们这道题中,我们还需要判断【序列是否有序】,这就需要我们在从栈中弹出节点的时候,和上一次弹出的节点值作比较,如果当前的值大,那就继续之前的操作,否则就证明不是二叉搜索树。

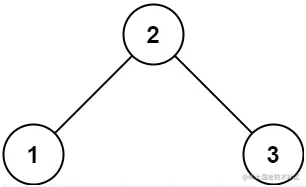
以下图为例:

2

首先初始化一个空栈 stack 和一个保存前一个节点的 pre。

3

stack = []
# 记录前一个节点
pre = None

从根节点开始,一直向左子树遍历,同时将当前的节点压入栈中。

4

# 一直向左子树走,每一次将当前节点保存到栈中
if root:
    stack.append(root)
    root = root.left

当前走到了最左面,弹出栈顶元素,此时 cur = 1,pre 为空,让 pre = cur。

5

cur = stack.pop()
# 判断序列是否有序
if pre and cur.val <= pre.val:
    return False
pre = cur
root = cur.right

弹出的节点 1 并无右子树,继续重复上述的动作。

弹出栈顶元素,此时 cur = 2,pre = 1,cur > pre,证明当前有序。

6

此时让 pre = cur,同时当前的节点 2 有右子树,遍历其右子树,遍历到的节点入栈。

7

弹出栈顶元素,此时 cur = 3,pre = 2,cur > pre,证明当前有序。

8

此时让 pre = cur,同时弹出的节点 3 并无右子树,至此二叉树全部遍历完,返回 True。

Python 代码实现

# Definition for a binary tree node.
# class TreeNode:
#     def __init__(self, val=0, left=None, right=None):
#         self.val = val
#         self.left = left
#         self.right = right
class Solution:
    def isValidBST(self, root: TreeNode) -> bool:
        stack = []
        # 记录前一个节点
        pre = None
​
        while root or stack:
            # 一直向左子树走,每一次将当前节点保存到栈中
            if root:
                stack.append(root)
                root = root.left
            # 当前节点为空,证明走到了最左边,从栈中弹出节点
            # 开始对右子树重复上述过程
            else:
                cur = stack.pop()
                # 判断序列是否有序
                if pre and cur.val <= pre.val:
                    return False
                pre = cur
                root = cur.right
​
        return True

Java 代码实现

/**
 * Definition for a binary tree node.
 * public class TreeNode {
 *     int val;
 *     TreeNode left;
 *     TreeNode right;
 *     TreeNode() {}
 *     TreeNode(int val) { this.val = val; }
 *     TreeNode(int val, TreeNode left, TreeNode right) {
 *         this.val = val;
 *         this.left = left;
 *         this.right = right;
 *     }
 * }
 */
class Solution {
    public boolean isValidBST(TreeNode root) {
        Stack<TreeNode> stack = new Stack<TreeNode>();
        // 记录前一个节点
        TreeNode pre = null;
        
        while(stack.size() > 0 || root != null){
            // 一直向左子树走,每一次将当前节点保存到栈中
            if(root != null){
                stack.add(root);
                root = root.left;
            }
            // 当前节点为空,证明走到了最左边,从栈中弹出节点
            // 开始对右子树重复上述过程
            else{
                TreeNode cur = stack.pop();
                // 判断序列是否有序
                if(pre != null && cur.val <= pre.val){
                    return false;
                }
                pre = cur;
                root = cur.right;
            }
        }
        return true;
    }
}

同样,非递归版的解法时间复杂度为O(n),空间复杂度为 O(n)


图解验证二叉搜索树到这就结束了,你看,虽然是个难度中等的题,也只是个纸老虎。

掌握了二叉搜索树的性质就掌握了这道题的解题密码,其实这道题也给我们提供了思路,有时候可以往本身的性质上靠一下。

我是帅蛋,我们下次见!