数学建模(5)

198 阅读3分钟

本文已参与「新人创作礼」活动,一起开启掘金创作之路。

前言

提起综合评价模型,大家可能会比较熟悉层次分析法,但是层次分型法的主观性太强,有时构造的矩阵并不能通过一致性检验,所以了解一些其他的综合评价模型也是十分重要的。比较常用的综合评价模型有TOPSIS法,熵值法,灰色关联分析法等,本文主要介绍一些灰色关联分析法的主要内容。

灰色关联分析法

灰色关联分析法最基本的应用其实并不是进行综合评价,而是进行系统分析。例如在一个系统中可能会有很多的因素对这个系统的发展产生影响,灰色关联分析就是确定各个因素对系统影响的重要程度。灰色关联度分析法的基本思想是根据曲线的相似程度,判断因素之间的关联性,例如: 在这里插入图片描述 我们可以根据以上的数据判断哪一种产业对GDP的影响比较大。几何图形如下图所示: 在这里插入图片描述

上面是用python画的图,代码如下:

import numpy as np
import matplotlib
import matplotlib.pyplot as plt
from matplotlib import style
matplotlib.rcParams['text.usetex']=True
plt.figure(figsize=(10,10),dpi=70)
X=[1,2,3,4,5,6]
Y=[386,408,422,482,511,561]
Z=[839,846,960,1258,1577,1893]
S=[763,808,953,1010,1268,1352]
T=[1988,2062,2335,2750,3356,3806]
plt.plot(X,Y)
plt.plot(X,Z)
plt.plot(X,S)
import numpy as np
import matplotlib
import matplotlib.pyplot as plt
from matplotlib import style
matplotlib.rcParams['text.usetex']=True
plt.figure(figsize=(10,10),dpi=70)
X=[1,2,3,4,5,6]
Y=[386,408,422,482,511,561]
Z=[839,846,960,1258,1577,1893]
S=[763,808,953,1010,1268,1352]
plt.plot(X,Y)
plt.plot(X,Z)
plt.plot(X,S)
plt.plot(X,T)
红色曲线代表GDP,我们的目标是研究三大产业对GDP的影响程度,从图中可以看出橙色曲线与红色曲线的集合形状最为相似,橙色代表第一产业,所以可知第一产业对GDP的影响比较大。

综合评价模型

上面的例子只是简单的介绍了一下灰色关联分析的具体用途,下面我们介绍一下灰色关联分析作为综合评价模型的具体步骤,如下图所示:

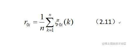
在这里插入图片描述 在灰色关联分析用作评价模型的时候,需要对数据进行预处理。 首先,对于不同类型的数据,处理起来的具体操作就不同,比如一个工厂生产的残次品肯定是越少越好,像这样的数据就称为极小型数据,学生考的分数当然是越高越好,这种叫做极大型数据。 其次,在评价模型中各个指标的单位可能不一样,我们需要对指标中的数据进行无量纲化处理,常用的方法有有该元素的的值去除以该元素对应的指标的平均值,z_ij=x_ij/((x_1j+x_2j+.....+x_nj)/n)。 第三,利用灰色关联度公式,求解各个指标与母序列的灰色关联度r_1,......,r_m,

在这里插入图片描述

在这里插入图片描述

第四,计算各个指标的权重,w_i=r_i/(r1+......,r_m);

最终,求出每个评价对象的最终得分,s_ik=z_k1w1+z_k2w2+......+zkm*wm.

总结

时间紧,任务重,实在没时间写代码了 哈哈 有问题欢迎交流。