导数与微分

755 阅读3分钟

知识点

  • 导数值与该点及其邻域有关
  • dyΔydy≈Δy, Δy多一个o(Δx)Δy多一个o(Δx)

  • x0x_0处可导能推出x0x_0处连续,但是推不出邻域连续,也推不出邻域可导

  • 只有x0x_0点连续是能推出的

  • 洛必达

  • 可导 + 不可导 = 不可导

  • 可以不单调

  • 连乘连除时使用


题型

  • 使用三部曲
  • 这个题只有一个点可导是不能用洛必达的(洛必达条件之一:去心邻域可导),而且也没说导函数在这点连续,用到后面是也会出错,参见李正元例2.6

  • 相切:导数值相等,函数值相等

法二:举特例

利用结论

  • 有定义的点可用导数公式直接求(比如左半部分的求导),无定义的点可用定义求导数(比如右半部分的求导)

  • 分段求导问题:李正元例2.13,2.14,2.15,2.31,2.32,2.36,2.37
  • 注意区分三种方法的使用
  • 注意个别题不是分段函数,但是导函数在某些点无定义,所以要单独求那个点的导数,比如:李正元例2.7(Ⅱ)

  • 左右有别,左和右分别只能确定左右导数,左右导数存在且相等才能说有导数

  • 1cosh1-cosh只能趋近于0+0^{+}

  • 后一个因子趋近于0,所以无法说明前一项(导数)存在

D项

  • f(x)f(x)在0处可以不连续

  • 同时满足这两条的才行
  • A不满足①,C不满足②

  • 可导 + 可导 = 可导
  • 可导 + 不可导 = 不可导

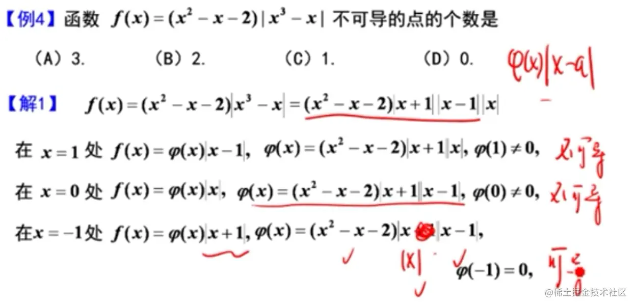
  • 更广泛一点的结论:李正元例2.24,不一定是乘xa|x - a|,只要乘一个在该点连续且不可导的函数都有这个结论

  • 李正元例2.25

  • 参考李正元例2.22、2.23,函数与绝对值函数的可导性的关系

  • 从几何意义来看,B项不妨令f(a)>0f'(a)>0,则有左半邻域内f(x)<f(a)=0f(x)<f(a)=0,右半邻域内f(x)>f(a)=0f(x)>f(a)=0,所以f(x)|f(x)|在这点会有尖点(利用前面讲的某个点导数大于0的结论)

  • nn次方的极限,等于根号下大的那个
  • 偶函数

  • 从几何意义上看,x=1x=1处左右切线斜率分别为0, 3,所以有两个点不可导(偶函数图像对称)

  • n阶导没说连不连续,洛必达只能用到n1n-1阶,对于本题如果nn阶导不连续,那使用洛必达只能得出limx0f(x)f(0)2x=limx0f(x)2lim_{x \to 0}\frac{f'(x)-f'(0)}{2x}=lim_{x \to 0}\frac{f''(x)}{2},由于不连续,所以无法得出最终的正确结果

  • 函数值相等,导数值相等

  • 求一次导,变一次奇偶性

  • 复合函数求导法则

  • 内外层都存在只是复合导存在的充分条件
  • 内外只有一个存在,或者都不存在是不能断定复合导不存在的

错误做法

  • 经典的错误,标准的零分

  • 不满足邻域内有定义(极限可以在该点无定义,但是要求邻域内有定义)

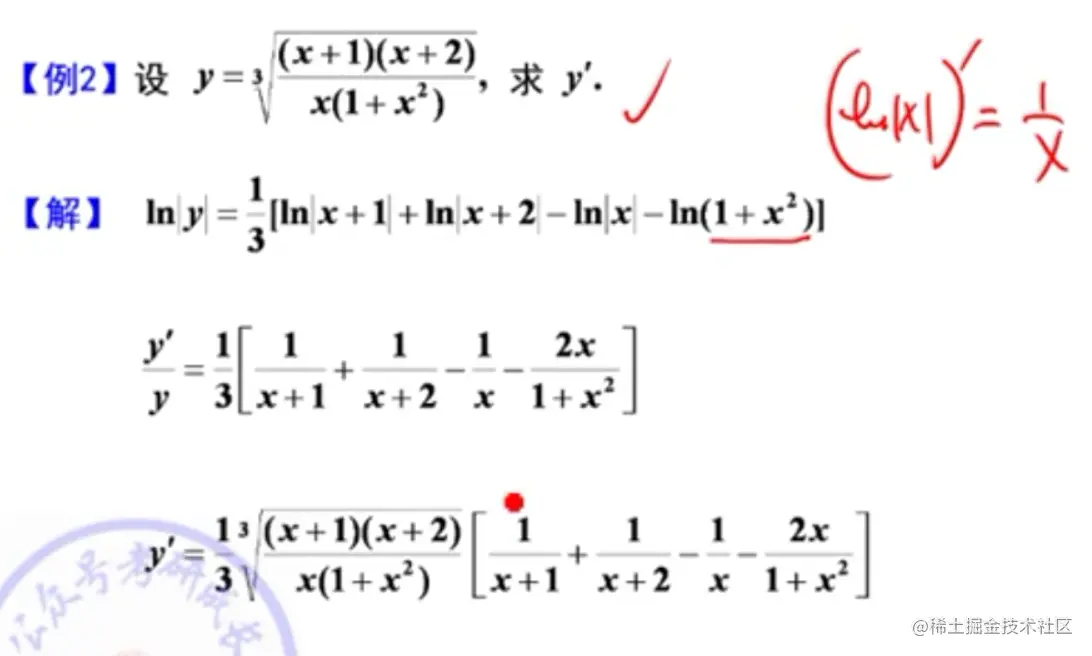
  • 第一步注意加绝对值

  • 观察归纳往往更简单

  • 降次,然后带公式

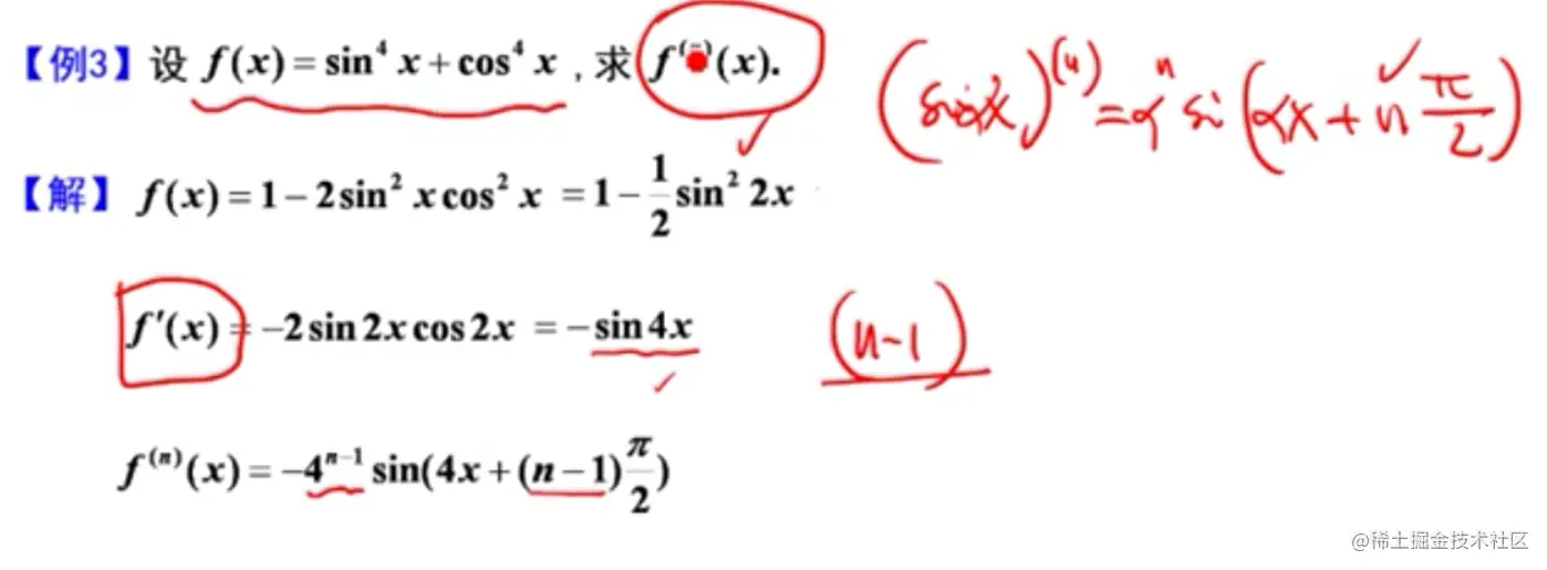
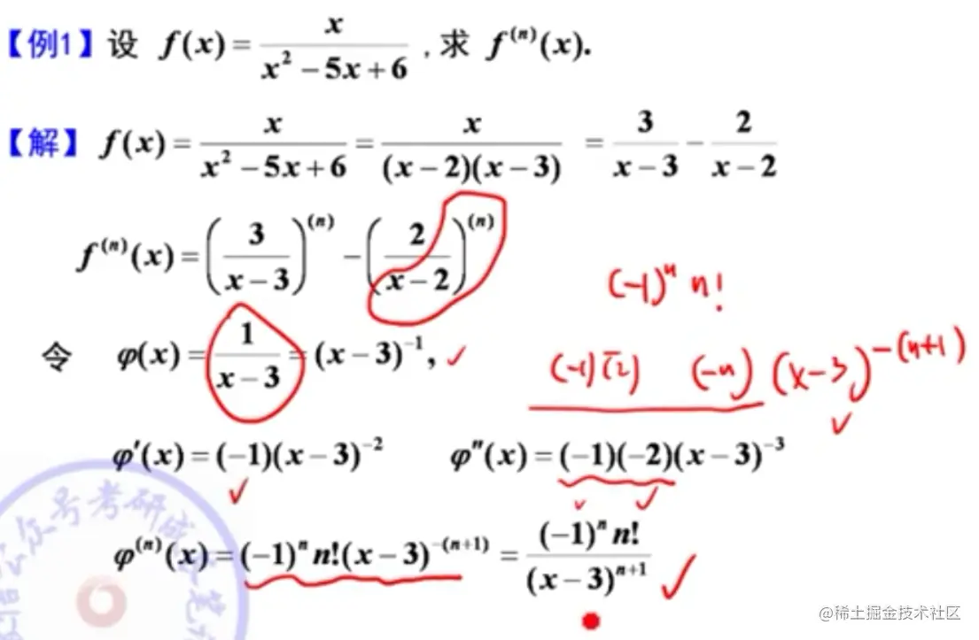
  • 李正元151和152页(n!Ann!A_n)
  • 泰勒用来算具体点的高阶导数

  • 要会写其他点的泰勒公式