leetcode-树-112-路径总和

74 阅读2分钟

持续创作,加速成长!这是我参与「掘金日新计划 · 6 月更文挑战」的第5天,点击查看活动详情

Hi, 大家好。

今后会按类分享算法题。

开始分享二叉树相关的算法题。

今天讲解的是二叉树系列的1道题:

  1. 路径总和

112. 路径总和

leetcode地址:leetcode.cn/problems/pa…

难度

简单

描述

给你二叉树的根节点 root 和一个表示目标和的整数 targetSum 。判断该树中是否存在 根节点到叶子节点 的路径,这条路径上所有节点值相加等于目标和 targetSum 。如果存在,返回 true ;否则,返回 false 。

叶子节点 是指没有子节点的节点。

 

示例 1:

image.png

输入:root = [5,4,8,11,null,13,4,7,2,null,null,null,1], targetSum = 22

输出:true

解释:等于目标和的根节点到叶节点路径如上图所示。

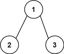
示例 2:

image.png

输入:root = [1,2,3], targetSum = 5

输出:false

解释:树中存在两条根节点到叶子节点的路径: (1 --> 2): 和为 3 (1 --> 3): 和为 4 不存在 sum = 5 的根节点到叶子节点的路径。

示例 3:

输入:root = [], targetSum = 0

输出:false

解释:由于树是空的,所以不存在根节点到叶子节点的路径。  

提示:

树中节点的数目在范围 [0, 5000] 内 -1000 <= Node.val <= 1000 -1000 <= targetSum <= 1000

解法

1.首先判断树是否存在,如果不存在,则直接返回false

2.接着判断树的左子树和右子树是否都存在,如果两个都不存在,则直接比较树的根节点的值和目标值是否一样,如果一样,则返回true,如果不一样,则返回false。这个条件也就是递归的终止条件。

3.有了上面的递归终止条件。接着递归左子树,此时递归函数的第一个参数就是root.left,第二个参数就是目标值减去根节点的值,结果返回true

4.接着递归右子树,此时递归函数的第一个参数就是root.right,第二个参数就是目标值减去根节点的值,结果返回true

5.否则最后返回false

代码

/**
 * Definition for a binary tree node.
 * function TreeNode(val, left, right) {
 *     this.val = (val===undefined ? 0 : val)
 *     this.left = (left===undefined ? null : left)
 *     this.right = (right===undefined ? null : right)
 * }
 */
/**
 * @param {TreeNode} root
 * @param {number} targetSum
 * @return {boolean}
 */
var hasPathSum = function(root, targetSum) {
    if(root === null) return false;
    if(root.left === null && root.right === null) return root.val === targetSum;

    if(hasPathSum(root.left, targetSum - root.val))    return true;
    if(hasPathSum(root.right, targetSum -root.val)) return true;

    return false;
};