图解vue3.0编译器核心原理

2,266 阅读7分钟

概览

Vue.js作为目前最流行的前端框架之一,一些概念和原理还是需要我们前端开发人员了解与深入理解的。

Vue.js涉及的知识点很多,一些重要概念,例如:如何使用proxy实现响应式effect,虚拟DOMDiff算法及演变过程(双端Diff算法、快速Diff算法等),渲染器原理的实现,编译器、解析器的工作原理,动态节点、静态提升等等;

现在重点采用图解步骤分析一下编译器的简单工作原理;

编译器概念

编译器其实就是一段JavaScript代码程序,它将一种语言(A)编译成另外一种语言(B),其中前者A通常被叫做源代码,后者B通常被叫做为目标代码。例如我们vue的前端项目的.vue文件一般即为源代码,而编译后dist文件里的.js文件即为目标代码;这个过程就被称为编译(compile

关键概念

主要涉及的概念:

  • DSL 领域特定语言
  • AST 抽象语法树(Abstract Syntax Tree)
  • 有限状态机
  • 深度优先算法

简单流程

一个标准的编译器流程如下图所示:
compiler.png
Vue.js作为DSL,其编译流程会与上图有所不同,对于Vue.js来说,源代码就是组件的模板代码,而目标代码就是能够在浏览器(或其他平台)平台上运行的JavaScript代码。

Vue的编译器

Vue.js的目标代码其实就是渲染函数(render函数)。概况而言,Vue.js编译器首先对模板进行词法分析、语法分析,然后得到模板的抽象语法树(AST)。随后将模板AST转换成JavaScript AST,最后再转换成JavaScript代码,及渲染函数。一个简单的Vue.js模板编译器的工作流如下:
vue_compiler.png

简单如下:
模板代码

<div>
    <h1 id="vue">vue_compiler</h1>
</div>

目标的AST

const ast = {
    type: 'Root',
    children: [
        {
            type: 'Element',
            tag: 'div',
            children: [
                {
                    type:'Element',
                    tag: 'h1',
                    props: [
                        {
                            type: 'Attribute',
                            name: 'id',
                            content: 'vue'
                        }
                    ],
                    children: [
                        {
                            type: 'Text',
                            content: 'vue_compiler'
                        }
                    ]
                }
            ]
        }
    ]
}

目标代码

function render() {
    return h('div', [
        h('h1', {id: 'vue'}, 'vue_compiler')
    ])
}

由以上代码可以看出,AST其实就是一个具有层级结构的对象,模板的AST与模板具有相同的嵌套结构。每一颗AST都有一个逻辑上的根节点,其类型为Root,而模板中真正的根节点则作为Root节点的children存在。

观察AST可知:

  • 不同类型的节点是通过节点的type属性进行区分的。
  • 标签节点的子节点存储在其children数组中。
  • 标签节点的属性节点会存储在props数组中。
  • 不同类型的节点会使用不同的对象属性进行描述。

编译过程

parse函数

Vue.js通过封装parse函数,实现对模板的词法分析和语法分析,最终得到模板的AST。parse函数接收模板字符串作为参数,并将解析后的AST作为返回值返回;

const template = `
    <div>
        <h1>vue<h1>
    </div>
`
const templateAst = parse(template)

parse.png

解析器是如何对模板字符串进行分割的呢,此处就需要用到有限状态自动机。指的是在有限个状态之间,随着字符的输入,解析器会自动地在不同的状态之间进行切换。(实际上有限状态机是可以使用正则表达式来实现的)。

简单的状态机流程图:
status.png
通过有限状态机原理,可以帮助我们完成对模板的标记,最终将得到一系列Token(词法标记号)。

假设有如下代码:

const template = `<div><span>Vue</span><p>Vue Compiler</p></div>` // 模板字符串

// 通过有限状态机原理实现词法分解得到三个Token
// 开始标签 <div>
// 文本节点 vue
// 结束标签 </div>

// 最终值为
const tokens = tokenize(template);
// [
//     {
//         type: 'tag', name: 'div'
//     },
//     {
//         type: 'tag', name: 'span'
//     },
//     {
//         type: 'text', name: 'Vue'
//     },
//     {
//         type: 'tagEnd', name: 'span'
//     },
//     {
//         type: 'tag', name: 'p'
//     },
//     {
//         type: 'text', name: 'Vue Compiler'
//     },
//     {
//         type: 'tagEnd', name: 'p'
//     },
//     {
//         type: 'tagEnd', name: 'div'
//     }
// ]


// 此代码需要生成的AST应为
const ast = {
    type: 'Root',
    children: [
        {
            // 实际的根节点
            type: 'Element',
            tag:: 'div',
            children: [
                {
                    type: 'Element',
                    tag:: 'span',
                    children: [
                        {
                            type: 'Text',
                            content: 'Vue'
                        }
                    ]
                },
                {
                    type: 'Element',
                    tag:: 'p',
                    children: [
                        {
                            type: 'Text',
                            content: 'Vue Compiler'
                        }
                    ]
                }
            ]
        }
    ]
}

以上代码生成的AST数据结构HTML结构相同,都是树状结构

ast.png

接下来要做的就是将生成的tokens转换成AST,在转换过程中需要维护一个Stack,这个栈将用来维护元素间的父子关系。每到遇到一个开始标签,就创建一个Element类型的AST节点,并将其压入栈内,类似的,每当遇到一个结束标签节点,我们就将当前栈顶的节点弹出。这样栈顶的节点将始终充当父节点的角色。转换过程中的所有节点,都将作为当前栈顶节点的子节点,并添加到栈顶节点的children属性下。流程如下图示:

最初节点只有根节点Root

ast1.png

当扫描到第一个标签是开始节点时,因此我们创建一个类型为Element的AST节点Element(div),并将该节点作为当前节点的子节点。由于当前的栈顶节点是Root节点,所以新创建的Element(div)节点作为Root节点的子节点被添加到AST中,最后将新建的Element(div)节点压入栈中。

ast7.jpg

由于第二个节点也是一个开始标签,所以流程同上一步,只不过当前的栈顶节点为Element(div),所以将当前的节点Element(span)作为其子节点添加到AST中,最后将Element(div)节点压入栈中。

ast2.png

接下来的节点是一个文本节点,所以需要创建一个Text类型的AST节点,并将其作为栈顶节点Element(span)的子节点加入到AST中,不同的时,当前接待不是Element类型,所以不需要压入栈中;

ast3.png

下面是一个结束标签节点,根据规则,则需要将当前栈顶的节点弹出。

ast4.png

后面的流程此处就不再累述

ast5.png

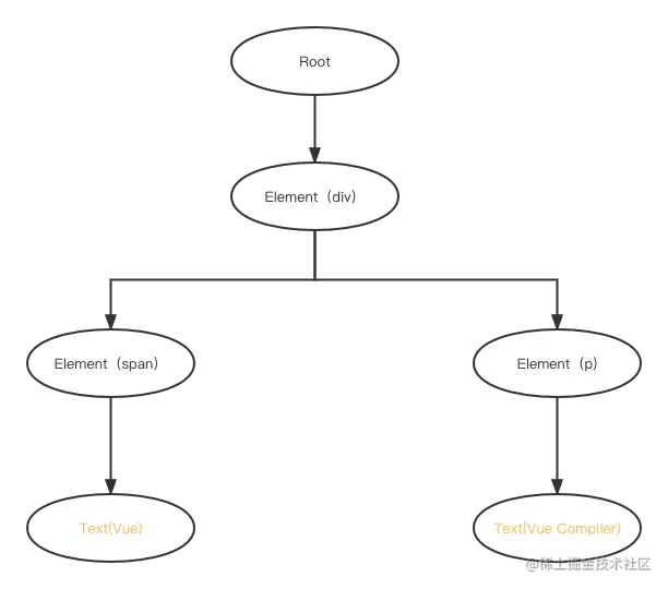
最终完成后的效果如下:

ast6.png

现在我们来实现parse函数

function parse(str) {
    // 对模板进行词法分析,得到节点list
    const tokens = okenize(template);
    // 创建跟节点
    const root = {
        type: 'Root',
        children: []
    };
    // 创建节点栈,root节点作为栈的根节点
    const stack = [root];
    while(tokens.length) {
        const parent = stack[stack.length - 1];
        const token = tokens[0] // 从第一个点开始
        switch(t.type) {
            case 'tag':
                const eleNode = {
                    type: 'Element',
                    tag: t.name,
                    children: []
                }
                parent.children.push(eleNode);
                stack.push(eleNode);
                break;
            case 'text':
                const textNode = {
                    type: 'Text',
                    content: t.content
                }
                parent.children.push(textNode);
                break;
            case 'tagEnd':
                // 结束标签,将栈顶节点弹出栈
                stack.pop();
                break;
        }
        // 消费掉已处理的节点
        tokens.shift()
    }
    return root
}

以上就是一个简版的parse函数的实现,当然相对于Vue.js的源码还有很多差异,但基本原理大致相同。

下面关于transform函数和generate函数仅做了简要说明,具体实现原理敬请期待;

transform函数

const template = `
    <div>
        <h1>vue<h1>
    </div>
`
const templateAst = parse(template)
const jsAst = transform(templateAst)

transform.png

generate函数

const template = `
    <div>
        <h1>vue<h1>
    </div>
`
const templateAst = parse(template)
const jsAst = transform(templateAst)
const code = generate(jsAst)

generate.png

完整流程

以上就是Vue模板编译器的基本结构和工作流程,它主要有三个部分组成:

  • 用来将模板字符串解析为模板AST的解析器(parser);
  • 用来将模板AST解析成JavaScript AST的转换器(transformer);
  • 用来根据JavaScript AST生成渲染函数代码的生成器(generator);

本文章主要讨论了parser的基本实现原理(实际上Vue.js的真正实现要复杂的多,比如正则解析、Vue语法解析v-if、v-show、内插值{{}}等等),以及如何使用有限状态自动机来构造一个词法分析器,其过程就是状态机在不同的状态之间进行迁移的过程,并生成一个Token列表集合。然后使用Token列表集合和顶节点元素栈来构造一个可以用来描述模板的AST,最后使用模板AST来解析成JavaScript AST和渲染函数。

compiler2.png

作者:GFE-绝对零度
著作权归作者所有。商业转载请联系作者获得授权,非商业转载请注明出处。

参考

Vue.js源码;

Vue.js设计与实现;