二叉搜索树与双向链表

200 阅读2分钟

题目

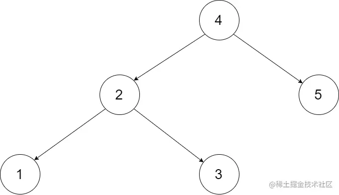
输入一棵二叉搜索树,将该二叉搜索树转换成一个排序的循环双向链表。要求不能创建任何新的节点,只能调整树中节点指针的指向。

image.png

我们希望将这个二叉搜索树转化为双向循环链表。链表中的每个节点都有一个前驱和后继指针。对于双向循环链表,第一个节点的前驱是最后一个节点,最后一个节点的后继是第一个节点。

下图展示了上面的二叉搜索树转化成的链表。“head” 表示指向链表中有最小元素的节点。

image.png

特别地,我们希望可以就地完成转换操作。当转化完成以后,树中节点的左指针需要指向前驱,树中节点的右指针需要指向后继。还需要返回链表中的第一个节点的指针。

题解:

将 二叉搜索树 转换成一个 “排序的循环双向链表” ,其中包含三个要素:

1.排序链表: 节点应从小到大排序,因此应使用 中序遍历 “从小到大”访问树的节点。

2.双向链表: 在构建相邻节点的引用关系时,设前驱节点 pre 和当前节点 cur ,不仅应构建 pre.right = cur ,也应构建 cur.left = pre 。

3.循环链表: 设链表头节点 head 和尾节点 tail ,则应构建 head.left = tail 和 tail.right = head 。

按照上面的要求,我们先对二叉树采用中序遍历,(迭代或者递归),然后对于每一节点进行双指针指向,对于pre和head我们需要进行如下操作:

先对pre判断,如果pre不为null,pre.right = cur,else 就是第一个节点,我们用head做标记指向。然后要让对当前节点的left指向pre,pre再指向当前节点。

最后pre指向最后一节点,我们要让pre.right指向head,head.left指向pre; 返回head;

代码

递归

class Solution {
    Node head,pre;
    public Node treeToDoublyList(Node root) {
        if(root == null) return root;
        
        dfs(root);//递归
        head.left = pre;
        pre.right = head;
        return head;

    }
    public void dfs(Node cur){
        if(cur == null) return;
        dfs(cur.left);//先遍历left节点
        if(pre != null) pre.right = cur;//判断是否为第一个节点
        else head = cur;
        cur.left = pre;
        pre = cur;
        dfs(cur.right);//遍历右节点
    }
}

迭代

class Solution {
    Node head,pre;
    public Node treeToDoublyList(Node root) {
        if(root == null) return root;
        
        Stack<Node> stack = new Stack<>();
        Node cur = root;
        while (cur != null || !stack.isEmpty()){
            if (cur != null){
               stack.push(cur);
               cur = cur.left;
            }else{
                cur = stack.pop();
                if(pre != null) pre.right = cur;
                else head = cur;
                cur.left = pre;
                pre = cur;
                cur = cur.right;
            }
        }
        head.left = pre;
        pre.right = head;
        return head;
    }
}