「LeetCode」99-恢复二叉搜索树⚡️

113 阅读3分钟

持续创作,加速成长!这是我参与「掘金日新计划 · 6 月更文挑战」的第6天,点击查看活动详情

大家好,我是速冻鱼🐟,一条水系前端💦,喜欢花里胡哨💐,持续沙雕🌲,是隔壁寒草🌿的好兄弟,刚开始写文章。 如果喜欢我的文章,可以关注➕点赞,为我注入能量,与我一同成长吧~

前言🌧️

算法,对前端人来说陌生又熟悉,很多时候我们都不会像后端工程师一样重视这项能力。但事实上,算法对每一个程序员来说,都有着不可撼动的地位。

因为开发的过程就是把实际问题转换成计算机可识别的指令,也就是《数据结构》里说的,「设计出数据结构,在施加以算法就行了」。

编写指令的好坏,会直接影响到程序的性能优劣,而指令又由数据结构和算法组成,所以数据结构和算法的设计基本上决定了最终程序的好坏

题目🦀

99. 恢复二叉搜索树

难度中等

给你二叉搜索树的根节点 root ,该树中的 恰好 两个节点的值被错误地交换。请在不改变其结构的情况下,恢复这棵树

示例 1:

img

输入:root = [1,3,null,null,2]
输出:[3,1,null,null,2]
解释:3 不能是 1 的左孩子,因为 3 > 1 。交换 13 使二叉搜索树有效。

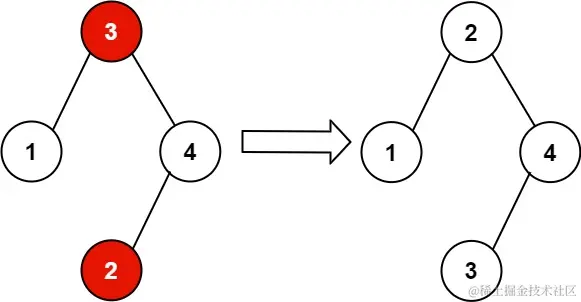
示例 2:

img

输入:root = [3,1,4,null,null,2]
输出:[2,1,4,null,null,3]
解释:2 不能在 3 的右子树中,因为 2 < 3 。交换 23 使二叉搜索树有效。

提示:

  • 树上节点的数目在范围 [2, 1000]

  • -231 <= Node.val <= 231 - 1

**进阶:**使用 O(n) 空间复杂度的解法很容易实现。你能想出一个只使用 O(1) 空间的解决方案吗?

解题思路🌵

  • 此题需要利用二叉搜索树的规则
  • 二叉搜索树本质就是中序遍历,一次递增
  • 我们可以先中序遍历,将所有结点保存在数组中
  • 再判断结点的值确定哪些结点错误,最后交换

解题步骤🐂

  • 处理边界条件
  • 初始化nodelist
  • 编写dfs函数
  • 进行中序遍历
  • 将中序遍历的结点放入数组
  • 遍历数组
  • 判断错误的结点位置
  • 最后交换错误的结点

源码🔥

/**
 * Definition for a binary tree node.
 * function TreeNode(val, left, right) {
 *     this.val = (val===undefined ? 0 : val)
 *     this.left = (left===undefined ? null : left)
 *     this.right = (right===undefined ? null : right)
 * }
 */
/**
 * @param {TreeNode} root
 * @return {void} Do not return anything, modify root in-place instead.
 */
var recoverTree = function(root) {
    if(!root){
        return root
    }
    const nodeList=[]

    const dfs = (root)=>{
        if(!root){
            return
        }
        dfs(root.left)
        nodeList.push(root)
        dfs(root.right)
    }
    dfs(root)

    let firstNode;
    let secondNode;
    for(let i = 0; i<nodeList.length-1;i++){
        if(nodeList[i].val>=nodeList[i+1].val){
            //注意这里巧妙的找到2个错误的结点,可以画个图理解一下
            if(!firstNode){
                firstNode=nodeList[i]
                secondNode = nodeList[i+1]
            }
            secondNode=nodeList[i+1]
        }
    }
    //交换错误结点的值
    let temp = firstNode.val
    firstNode.val = secondNode.val
    secondNode.val=temp
};

时间复杂度:O(n)

空间复杂度:O(n)

结束语🌞

那么鱼鱼的LeetCode算法篇的「LeetCode」99-恢复二叉搜索树⚡️就结束了,算法这个东西没有捷径,只能多写多练,多总结,文章的目的其实很简单,就是督促自己去完成算法练习并总结和输出,菜不菜不重要,但是热爱🔥,喜欢大家能够喜欢我的短文,也希望通过文章认识更多志同道合的朋友,如果你也喜欢折腾,欢迎加我好友,一起沙雕,一起进步

github🤖:sudongyu

个人博客👨‍💻:速冻鱼blog

vx👦:sudongyuer

写在最后

伙伴们,如果喜欢我的口水话给🐟🐟点一个赞👍或者关注➕都是对我最大的支持。

加我微信:sudongyuer,邀你进群,一起学习前端,成为更优秀的工程师~(群二维码在这里->前端要早睡, 二维码过期了的话看链接沸点中的评论,我会把最新的二维码放在评论区,当然也可以加我微信我拉你进群,毕竟我也是有趣的前端,认识我也不赖🌟~

「欢迎在评论区讨论,掘金官方将在掘力星计划活动结束后,在评论区抽送100份掘金周边,抽奖详情见活动文章」。