A Fuzzy K-Nearest Neighbor Algorithm

406 阅读3分钟

0. 论文的基本介绍

Keller J M, Gray M R, Givens J A. A fuzzy k-nearest neighbor algorithm[J]. IEEE transactions on systems, man, and cybernetics, 1985 (4): 580-585.

image.png 而且现在这个期刊是一个TOP刊。

1. 摘要

许多算法利用样本之间的距离或相似性作为一种分类手段。在这些模式识别问题中,经常使KNN。但是在KNN中每个样本属于不同类别只有0或1的分别,而每个类别中不同样本属于该类的重要性(隶属度)是不一样的,而KNN中每个标记的样本在同一类中都被赋予同等的重要性,而不管它们的“典型性”如何。通过将模糊集理论引入到KNN中,开发出Fussy_KNN,本文提出了三种对标记样本分配模糊隶属度的方法,并通过实验将Fussy_KNN与传统的KNN(Crips)、其他分类算法进行比较,表明Fussy_KNN具有更好的效果。

2.模糊集

i=1cuik=10<k=1nuik<nuikϵ[0,1]\large \large \begin{array}{l} \sum_{i=1}^{c} u_{i k}=1 \\ \\0<\sum_{k=1}^{n} u_{i k}<n \\ \\u_{i k} \epsilon[0,1] \end{array}

假定n个带有分类标签的样本:{x1,...,xn}\large \left \{ x_{1},...,x_{n} \right \},分类的类别数为c,因此我们可以得到一个隶属度矩阵uik=ui(xk)\large u_{ik}=u_{i}(x_{k})i=1,...,c\large i = 1,...,ck=1,..,n\large k=1,..,n。该隶属度矩阵表示每个样本属于每个类的隶属度(概率),因此一个样本属于不同类的隶属度之和就为1。

3.KNN算法

3.1 Crisp KNN

假定n个带有分类标签的样本:!{x1,...,xn}\large \left \{ x_{1},...,x_{n} \right \},该算法流程如下:

    输入一个未知类别样本y
    设定k值,1 <= k <= n
    初始化 i = 1
    DO UNTIL (寻找k个最近的邻居)
        计算y到xi的距离
        IF (i <= k)
            将xi放到k个最近的邻居的数据集中
        ELSE IF (y到xi的距离比k个最近的邻居的数据集中的最大值小)
            删除k个最近的邻居的数据集中的最大值数据
            将xi放到k个最近的邻居的数据集中
        END IF
        i++
    END DO UNTIL
    
    将k个样本中代表的大多数样本的类作为y的类别
    IF (如果k个样本中存在多个类样本数并列第一的情况)
        计算y与每个类(样本数并列第一)的所有样本距离之和
        IF (如果不存在距离和并列第一的情况)
            将距离之和最小的类标签作为y的类别
        ELSE
            将最后发现的距离之和最小的类标签作为y的类别
        END IF
    ELSE
        将样本数最大的类的标签作为y的类别
    END IF
END

3.2 Fussy K-NN

假定n个带有分类标签的样本:{x1,...,xn}\large \left \{ x_{1},...,x_{n} \right \} Ui(y) \ U_{i}(y)表示未知类别样本y属于每个类别的概率(隶属度)。uij\large u_{ij}针对的是n个带有分类标签的样本,它表示的是每个样本属于每个类别的概率(隶属度)。算法流程如下:

Begin
    输入一个未知类别样本y
    设定k值,1 <= k <= n
    初始化 i = 1
    DO UNTIL (寻找k个最近的邻居)
        计算y到xi的距离
        IF (i <= k)
            将xi放到k个最近的邻居的数据集中
        ELSE IF (y到xi的距离比k个最近的邻居的数据集中的最大值小)
            删除k个最近的邻居的数据集中的最大值数据
            将xi放到k个最近的邻居的数据集中
        END IF
        i++
    END DO UNTIL
 
    初始化 i = 1
    DO UNTIL
    计算ui(y)
    i++
    END DO UNTIL
END
ui(y)=j=1Kuij(1/yxj2/(m1))j=1K(1/yxj2/(m1)) \large u_{i}(y)=\frac{\sum_{j=1}^{K} u_{i j}\left(1 /\left\|y-x_{j}\right\|^{2 /(m-1)}\right)}{\sum_{j=1}^{K}\left(1 /\left\|y-x_{j}\right\|^{2 /(m-1)}\right)}

从上述公式我们可以看出, Ui(y) \ U_{i}(y)的大小受到两个因素的影响:

  • 第一个就是未知样本与标签样本的距离,距离越小, Ui(y)\ U_{i}(y)就越大;
  • 第二个就是uij\large u_{ij},如果第j个样本在i个类中隶属度越高,uij\large u_{ij}越大, Ui(y)\ U_{i}(y)就越大。 uij\large u_{ij}的设定简单来说有3种:
  • 第一种就是属于对应类的设置为1,不属于设置为0;
  • 第二种就是根据该样本到类中的所有样本的距离之和来设定;
  • 第三种就是类中所有样本求和取均值,然后根据该样本与均值的距离来设定。 m值的设定,m值越大,距离对 Ui(y)\ U_{i}(y)产生的影响就会缩小。在本文中,m设定为2。

4.最近的原型分类器

4.1 Crisp最近的原型分类器

与上述样本集不同的是,上述每个类别中的每个样本代表一个集合元素,而这里每个集合元素是由一个类别的所有样本的均值组成的。因此这里的样本集表示为{Z1,...,Zc}\large \left \{Z_{1},...,Z_{c} \right \},c代表是类别。因此对应的算法流程如下:

BEGIN
    输入待分类的x
    初始化 i = 1
    DO UNTIL(计算每个类(原型)到x的距离)
        计算Zi到x的距离
        i++
    END DO UNTIL
    
    将距离最小的原型代表的类作为x的类
    IF(有并列最小的)
        将最后的距离最小的原型代表的类作为x的类
    ELSE
        将距离最小的原型代表的类作为x的类
    END IF
END

4.2 Fussy最近的原型分类器

样本集表示为{Z1,...,Zc}\large \left \{Z_{1},...,Z_{c} \right \},c代表是类别。因此对应的算法流程如下:

BEGIN
    输入待分类的x
    初始化 i = 1
    DO UNTIL(计算每个类(原型)到x的距离)
        计算Zi到x的距离
        i++
    END DO UNTIL
 
    初始化 i = 1
    DO UNTIL
        计算ui(x)
        i++
    END DO UNTIL
END
ui(x)=1/xZi2/(m1)j=1c(1/xZj2/(m1)).\large u_{i}(x)=\frac{1 /\left\|x-Z_{i}\right\|^{2 /(m-1)}}{\sum_{j=1}^{c}\left(1 /\left\|x-Z_{j}\right\|^{2 /(m-1)}\right)} .

5.结果

本文中用到的数据集:

image.png
该过程是从数据集中保留一个样本,并使用剩余的样本作为标记的数据集对其进行分类。重复这个过程,直到数据集中的所有样本都被分类为止。

本文提出了三种 uij\large u_{ij}(带标签样本所属不同类的隶属度)的设定方法:
1、属于对应类的设置为1,不属于设置为0;
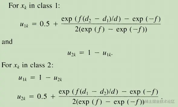
2、第二种限制条件是分类的类别只能为2。通过到不同类之间的距离来设定带标签样本所属不同类的隶属度。

image.png
这里d1是样本到第1类的平均值的距离,d2是样本到第2类的平均值的距离,d是两个平均值之间的距离(可以设定为(d1+d2)/2)。常数f必须是正的,它控制了隶属度向0.5下降的速率。
3.先找出距离每个带标签样本x最近的k1(不等同于上述的k)个样本,然后每个带标签样本x的各个类的隶属度计算公式如下:

uj(x)={0.51+(nj/K1)0.49, if j=i(nj/K1)0.49, if ji\large u_{j}(x)=\left\{\begin{array}{l} 0.51+\left(n_{j} / K1\right) * 0.49, \quad \text { if } j=i \\ \left(n_{j} / K1\right) * 0.49, \quad \text { if } j \neq i \end{array}\right.

当每个带标签样本x的真正类别i就是j类时候,它在j类中的隶属度值就是上面的计算公式,nj表示k1个最近的样本中属于j类的有多少个样本。当每个带标签样本x的真正类别i不是j类时候,它在j类中的隶属度值就是下面的计算公式,nj表示k1个最近的样本中属于j类的有多少个样本。

以下就是论文中采用3种计算方法下的Fussy K-NN的实验结果:

image.png

image.png
这里的1,3,5,7,9指的是计算K1,也就是求uij\large \large u_{ij}的第三种方法种的K1。在大多数KINIT选择中,错误分类的样本类中隶属度高(大于0.8)的错误分类样本的数量远远少于错误分类样本的一半,说明大部分被分类错误的样本是属于类与类之间交接部分的样本。

对比算法的实验效果,用K-Means算法进行分类的结果

image.png
最近原型分类器的实验结果,分为Crisp和Fussy版本:

image.png
不同样本的隶属度出现分类错误的情况:

image.png
说明大部分被分类错误的样本是属于类与类之间交接部分的样本。

6.算法的复现与实验

6.1Crisp K-NN

image.png

image.png
y值有1、2、3三类标签。

function test_y = knn(x, y, test_x, k)
% x:nxm,y:nx1,test_x:n0xm,test_y:n0x1
n0 = size(test_x, 1);
test_y = zeros(n0, 1);
for i = 1 : n0
    ind = [];
    % num表示有多少个类标签
    num = 3;
    max_label = 0;
    Dist = sum((x - test_x(i, :)).^2,2);
    % 从小大大排序,取前k个
    [D,I] = sort(Dist);
    D = D(1:k, :);
    D_y = y(I(1:k), :);
    for j = 1 : num
        % 计算k个样本中各类样本的数量,记录下最大数量的样本的类别
        label1 = sum(D_y==j);
        if label1 > max_label
            max_label = label1;
            ind = [];
            ind = [ind; j];
        elseif label1 == max_label
            ind = [ind; j];
        end
    end
    num_ind = size(ind, 1);
    min_dist = inf;
    % 如果存在数量相等的情况,就将距离之和最小的类标签作为test_y的类别
    for j1 = 1 : num_ind
        dist = sum(D(D_y == ind(j1)));
        if dist <= min_dist
            test_y(i, :) = ind(j1);
        end
    end
end
end
clc;clear;clearvars;
load('iris_X.mat', 'iris');
x = iris;
load('iris_Y.mat', 'iris');
y = iris;
n = size(x, 1);
test_y = zeros(n ,1);
for k = 1 : 10
    for i = 1 : n
        % 在样本集中选择一个样本作为测试集,其他样本作为训练集
        test_x = x(i, :);
        if i == 1
            ind = i + 1 : n;
            test_y(i, :) = knn(x(ind, :), y(ind, :), test_x, k);
        else
            ind = [1 : i - 1, i + 1 : n];
            test_y(i, :) = knn(x(ind, :), y(ind, :), test_x, k);
        end
    end
    err_num = sum(test_y ~= y);
    err_rate = err_num / n;
    fprintf("iris total: %d k: %d err_num: %d err_rate: %.4f\n",n,k,err_num,err_rate);
end
clc;clear;clearvars;
load('iris_X.mat', 'iris');
x = iris;
load('iris_Y.mat', 'iris');
y = iris;
n = size(x, 1);
test_y = zeros(n ,1);
for k = 1 : 10
    for i = 1 : n
        % 在样本集中选择一个样本作为测试集,其他样本作为训练集
        test_x = x(i, :);
        if i == 1
            ind = i + 1 : n;
            test_y(i, :) = knn(x(ind, :), y(ind, :), test_x, k);
        else
            ind = [1 : i - 1, i + 1 : n];
            test_y(i, :) = knn(x(ind, :), y(ind, :), test_x, k);
        end
    end
    err_num = sum(test_y ~= y);
    err_rate = err_num / n;
    fprintf("iris total: %d k: %d err_num: %d err_rate: %.4f\n",n,k,err_num,err_rate);
end

image.png
测试结果与论文中结果差不多,甚至比论文中结果小优。

6.2Fussy K-NN

本文提到了三种计算uij\large \large u_{ij}的方式,根据本文给出的实验结果来看,第三种方式的准确率最高,因此我这里也就只复现第三种计算uij\large \large u_{ij}方式的Fussy K-NN算法。

function u = memberships(x, y, num, k1)
% x:nxm,y:nx1,k1是一个常数,u:n*num,这个num代表类别
n = size(x, 1);
u = zeros(n, num);
for i = 1 : n
    ind = [1 : i - 1, i + 1 : n];
    Dist = sum((x(ind, :) - x(i, :)).^2,2);
    % 从小大大排序,取前k1个
    [~,I] = sort(Dist);
    D_y = y(I(1:k1), :);
    for j = 1 : num
        nj = sum(D_y == j);
        if y(i, :) == j
            u(i, j) = 0.51 + (nj / k1) * 0.49;
        else
            u(i, j) = (nj / k1) * 0.49;
        end
    end
end
end
function test_y = fknn(x, test_x, k, num, u)
% x:nxm,test_x:n0xm,test_y:n0x1,
% u:n*num,这个num代表类别,u->menbershiip,k代表最近邻k个
n0 = size(test_x, 1);
m = 2;
% 表示每个样本属于每个类的概率
U = zeros(n0, num);
for i = 1 : n0
    Dist = sum((x - test_x(i, :)).^2,2);
    % 从小大大排序,取前k个
    [D,I] = sort(Dist);
    D = D(1:k, :);
    % 防止除0
    D(D==0) = 0.00001;
    D = D.^(-1 / (m - 1));
    Sum_DIST = sum(D);
    for j = 1 : num
        Sum_MULT = sum(u(I(1:k), j) .* D);
        U(i, j) = Sum_MULT / Sum_DIST;
    end 
end
% 求U每行最大值以及对应的索引
[~, I] = max(U, [], 2);
test_y = I;
end
clc;clear;clearvars;
load('iris_X.mat', 'iris');
x = iris;
load('iris_Y.mat', 'iris');
y = iris;
n = size(x, 1);
% num表示有多少个类标签
num = 3;
 
for k = 1 : 10
    % for k1 = 1 : 5
    for k1 = 3
        u = memberships(x, y, num, k1);
        test_y = zeros(n ,1);
        for i = 1 : n
            % 在样本集中选择一个样本作为测试集,其他样本作为训练集
            test_x = x(i, :);
            if i == 1
                ind = i + 1 : n;
                test_y(i, :) = fknn(x(ind, :), test_x, k, num, u);
            else
                ind = [1 : i - 1, i + 1 : n];
                test_y(i, :) = fknn(x(ind, :), test_x, k, num, u);
            end
        end
        err_num = sum(test_y ~= y);
        err_rate = err_num / n;
        fprintf("iris total: %d k: %d k1: %d err_num: %d err_rate: %.4f\n",n,k,k1,err_num,err_rate);
    end
end

image.png
将k1改为5。

image.png

image.png

image.png
最后一次预测的错误的四个值以及相对应的隶属度, 可以看出当隶属度在接近0.5时候,容易预测错误,但是高于0.7后,预测的基本都正确。

6.3The Crisp Nearest Prototype Classifier 和Fuzzy Nearest Prototype Algorithm

The Crisp Nearest Prototype Classifier:

clc;clear;clearvars;
load('iris_X.mat', 'iris');
x = iris;
load('iris_Y.mat', 'iris');
y = iris;
% num表示有多少个类标签
num = 3;
n = size(x, 1);
m = size(x, 2);
z = zeros(num, m);
z_lable = [1; 2; 3];
for i = 1 : num
    z(i, :) = sum(x(y == i, :), 1) ./ sum(y == i);
end
% cnp
test_y = zeros(n, 1);
for i = 1 : n
    Dist = sum((x(i, :) - z).^2,2);
    [~,I] = min(Dist);
    test_y(i, :) = I;
end
err_num = sum(test_y ~= y);
fprintf("cnp: iris total: %d err_num: %d\n",n,err_num);

输出:cnp: iris total: 150 err_num: 11

Fuzzy Nearest Prototype Algorithm

clc;clear;clearvars;
load('iris_X.mat', 'iris');
x = iris;
load('iris_Y.mat', 'iris');
y = iris;
% num表示有多少个类标签
num = 3;
n = size(x, 1);
m = size(x, 2);
z = zeros(num, m);
z_lable = [1; 2; 3];
for i = 1 : num
    z(i, :) = sum(x(y == i, :), 1) ./ sum(y == i);
end
U = zeros(n, num);
for i = 1 : n
    Dist = sum((x(i, :) - z).^2, 2);
    D = Dist.^(-1 / (2 - 1));
    Sum_DIST = sum(D);
    for j = 1 : num
        Sum_MULT = D(j, 1);
        U(i, j) = Sum_MULT / Sum_DIST;
    end 
end
% 求U每行最大值以及对应的索引
[~, test_y] = max(U, [], 2);
err_num = sum(test_y ~= y);
fprintf("fnp: iris total: %d err_num: %d\n",n,err_num);

输出:fnp: iris total: 150 err_num: 11

可以看出二者没有本质的差别,错误率差不多。