「LeetCode」98-验证二叉搜索树⚡️

171 阅读2分钟

持续创作,加速成长!这是我参与「掘金日新计划 · 6 月更文挑战」的第5天,点击查看活动详情

大家好,我是速冻鱼🐟,一条水系前端💦,喜欢花里胡哨💐,持续沙雕🌲,是隔壁寒草🌿的好兄弟,刚开始写文章。 如果喜欢我的文章,可以关注➕点赞,为我注入能量,与我一同成长吧~

前言🌧️

算法,对前端人来说陌生又熟悉,很多时候我们都不会像后端工程师一样重视这项能力。但事实上,算法对每一个程序员来说,都有着不可撼动的地位。

因为开发的过程就是把实际问题转换成计算机可识别的指令,也就是《数据结构》里说的,「设计出数据结构,在施加以算法就行了」。

编写指令的好坏,会直接影响到程序的性能优劣,而指令又由数据结构和算法组成,所以数据结构和算法的设计基本上决定了最终程序的好坏

题目🦀

98. 验证二叉搜索树

难度中等

给你一个二叉树的根节点 root ,判断其是否是一个有效的二叉搜索树。

有效 二叉搜索树定义如下:

  • 节点的左子树只包含 小于 当前节点的数。

  • 节点的右子树只包含 大于 当前节点的数。

  • 所有左子树和右子树自身必须也是二叉搜索树。

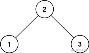
示例 1:

img

输入:root = [2,1,3]
输出:true

示例 2:

img

输入:root = [5,1,4,null,null,3,6]
输出:false
解释:根节点的值是 5 ,但是右子节点的值是 4

提示:

  • 树中节点数目范围在[1, 104]
  • -231 <= Node.val <= 231 - 1

解题思路🌵

  • 此题需要使用中序遍历求解
  • 注意巧妙理解二叉搜索树本质就是中序遍历递增的过程
  • 巧妙设置pre结点很方便的求解此题

解题步骤🐂

  • 初始化pre 为 -Infinity
  • 编写dfs函数
  • 处理边界情况
  • 根据左根右来递归
  • 当为中间结点时,比较pre和现在结点值的大小
  • 如果root.val<=pre 表示中序遍历没有递增了返回false
  • 最后返回 left && right

源码🔥

/**
 * Definition for a binary tree node.
 * function TreeNode(val, left, right) {
 *     this.val = (val===undefined ? 0 : val)
 *     this.left = (left===undefined ? null : left)
 *     this.right = (right===undefined ? null : right)
 * }
 */
/**
 * @param {TreeNode} root
 * @return {boolean}
 */
var isValidBST = function(root) {
    let pre = - Infinity

    const dfs = (root)=>{
        if(!root){
            return true
        }
        //左
        const left = dfs(root.left)

        //根
        if(root.val<=pre){
            return false
        }
        pre = root.val
        
        //右
        const right = dfs(root.right)

        return left && right
    }

    return dfs(root)
};

源码1🔥

const isValidBST = root => {
    const arr = [];
    const inOrder = root => {
        if (!root) return;
        inOrder(root.left); // 左
        arr.push(root.val); // 根
        inOrder(root.right); // 右
    };
    inOrder(root);
    const len = arr.length;
    for (let i = 1; i < len; i++) {
        if (arr[i] <= arr[i - 1]) return false;
    }
    return true;
};

时间复杂度:O(n)

空间复杂度:O(1)

结束语🌞

那么鱼鱼的LeetCode算法篇的「LeetCode」98-验证二叉搜索树⚡️就结束了,算法这个东西没有捷径,只能多写多练,多总结,文章的目的其实很简单,就是督促自己去完成算法练习并总结和输出,菜不菜不重要,但是热爱🔥,喜欢大家能够喜欢我的短文,也希望通过文章认识更多志同道合的朋友,如果你也喜欢折腾,欢迎加我好友,一起沙雕,一起进步

github🤖:sudongyu

个人博客👨‍💻:速冻鱼blog

vx👦:sudongyuer

写在最后

伙伴们,如果喜欢我的口水话给🐟🐟点一个赞👍或者关注➕都是对我最大的支持。

加我微信:sudongyuer,邀你进群,一起学习前端,成为更优秀的工程师~(群二维码在这里->前端要早睡, 二维码过期了的话看链接沸点中的评论,我会把最新的二维码放在评论区,当然也可以加我微信我拉你进群,毕竟我也是有趣的前端,认识我也不赖🌟~

「欢迎在评论区讨论,掘金官方将在掘力星计划活动结束后,在评论区抽送100份掘金周边,抽奖详情见活动文章」。