持续创作,加速成长!这是我参与「掘金日新计划 · 6 月更文挑战」的第5天,点击查看活动详情
剑指 Offer 06. 重建二叉树
Leetcode : leetcode-cn.com/problems/yo…
GitHub : github.com/nateshao/le…
题目描述:输入某二叉树的前序遍历和中序遍历的结果,请构建该二叉树并返回其根节点。
假设输入的前序遍历和中序遍历的结果中都不含重复的数字。
示例1:
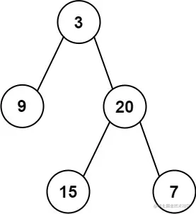
Input: preorder = [3,9,20,15,7], inorder = [9,3,15,20,7]
Output: [3,9,20,null,null,15,7]
示例 2:
Input: preorder = [-1], inorder = [-1]
Output: [-1]
限制:0 <= 节点个数 <= 5000
方法一:递归
Go
//Definition for a binary tree node.
type TreeNode struct {
Val int
Left *TreeNode
Right *TreeNode
}
func buildTree(preorder []int, inorder []int) *TreeNode {
if len(preorder) == 0 {
return nil
}
root := &TreeNode{preorder[0], nil, nil}
i := 0
for ; i < len(inorder); i++ {
if inorder[i] == preorder[0] {
break
}
}
root.Left = buildTree(preorder[1:len(inorder[:i])+1], inorder[:i])
root.Right = buildTree(preorder[len(inorder[:i])+1:], inorder[i+1:])
return root
}
解题思路 :
前序遍历性质: 节点按照 [ 根节点 | 左子树 | 右子树 ] 排序。
中序遍历性质: 节点按照 [ 左子树 | 根节点 | 右子树 ] 排序。
以题目示例为例:
前序遍历划分
[ 3 | 9 | 20 15 7 ]中序遍历划分
[ 9 | 3 | 15 20 7 ]
根据以上性质,可得出以下推论:
- 前序遍历的首元素 为 树的根节点
node的值。 - 在中序遍历中搜索根节点
node的索引 ,可将 中序遍历 划分为 [ 左子树 | 根节点 | 右子树 ] 。 - 根据中序遍历中的左(右)子树的节点数量,可将 前序遍历 划分为 [ 根节点 | 左子树 | 右子树 ] 。
通过以上三步,可确定三个节点 :1.树的根节点、2.左子树根节点、3.右子树根节点。
根据「分治算法」思想,对于树的左、右子树,仍可复用以上方法划分子树的左右子树。
分治算法解析:
-
递推参数: 根节点在前序遍历的索引 root 、子树在中序遍历的左边界 left 、子树在中序遍历的右边界 right ;
-
终止条件: 当 left > right ,代表已经越过叶节点,此时返回 null ;
-
递推工作:
-
建立根节点 node : 节点值为 preorder[root] ;
-
划分左右子树: 查找根节点在中序遍历 inorder 中的索引 i ;
为了提升效率,本文使用哈希表 dic 存储中序遍历的值与索引的映射,查找操作的时间复杂度为O(1) ;
-
构建左右子树: 开启左右子树递归;
-
| 根节点索引 | 中序遍历左边界 | 中序遍历右边界 | |
|---|---|---|---|
| 左子树 | root + 1 | left | i - 1 |
| 右子树 | i - left + root + 1 | i + 1 | right |
TIPS: i - left + root + 1含义为 根节点索引 + 左子树长度 + 1
返回值: 回溯返回 node ,作为上一层递归中根节点的左 / 右子节点;
动图演示:

复杂度分析:
- 时间复杂度 O(N) : 其中 N 为树的节点数量。初始化 HashMap 需遍历 inorder ,占用 O(N) 。递归共建立 N 个节点,每层递归中的节点建立、搜索操作占用 O(1) ,因此使用 O(N) 时间。
- 空间复杂度 O(N) : HashMap 使用 O(N) 额外空间;最差情况下(输入二叉树为链表时),递归深度达到 N ,占用 O(N) 的栈帧空间;因此总共使用 O(N) 空间。
package com.nateshao.sword_offer.topic_06_buildTree;
import java.util.Arrays;
import java.util.HashMap;
import java.util.Map;
/**
* @date Created by 邵桐杰 on 2021/11/17 10:48
* @微信公众号 程序员千羽
* @个人网站 www.nateshao.cn
* @博客 https://nateshao.gitee.io
* @GitHub https://github.com/nateshao
* @Gitee https://gitee.com/nateshao
* Description: 重建二叉树 难度:中等
*/
public class Solution {
public static void main(String[] args) {
int[] preorder = {1, 2, 4, 7, 3, 5, 6, 8};
int[] inorder = {4, 7, 2, 1, 5, 3, 8, 6};
}
/**
* 思路:先找出根节点,然后利用递归方法构造二叉树
* 代码实现:时间复杂度:O(n),空间复杂度:O(n)
* 解法一:递归(传入数组的拷贝)
*
* @param pre
* @param in
* @return
*/
public TreeNode reConstructBinaryTree(int[] pre, int[] in) {
if (pre == null || in == null || pre.length == 0 || in.length == 0) {
return null;
}
if (pre.length != in.length) {
return null;
}
TreeNode root = new TreeNode(pre[0]);
for (int i = 0; i < pre.length; i++) {
if (pre[0] == in[i]) {
root.left = reConstructBinaryTree(Arrays.copyOfRange(pre, 1,
i + 1), Arrays.copyOfRange(in, 0, i));
root.right = reConstructBinaryTree(Arrays.copyOfRange(pre,
i + 1, pre.length), Arrays.copyOfRange(in, i + 1, in.length));
}
}
return root;
}
// HashMap<Integer, Integer> map = new HashMap<>();//标记中序遍历
// int[] preorder;//保留的先序遍历,方便递归时依据索引查看先序遍历的值
// public TreeNode buildTree(int[] preorder, int[] inorder) {
// this.preorder = preorder;
// //将中序遍历的值及索引放在map中,方便递归时获取左子树与右子树的数量及其根的索引
// for (int i = 0; i < inorder.length; i++) {
// map.put(inorder[i], i);
// }
// //三个索引分别为
// //当前根的的索引
// //递归树的左边界,即数组左边界
// //递归树的右边界,即数组右边界
// return recur(0, 0, inorder.length - 1);
// }
//
// TreeNode recur(int pre_root, int in_left, int in_right) {
// if (in_left > in_right) return null;// 相等的话就是自己
// TreeNode root = new TreeNode(preorder[pre_root]);//获取root节点
// int idx = map.get(preorder[pre_root]);//获取在中序遍历中根节点所在索引,以方便获取左子树的数量
// //左子树的根的索引为先序中的根节点+1
// //递归左子树的左边界为原来的中序in_left
// //递归左子树的右边界为中序中的根节点索引-1
// root.left = recur(pre_root + 1, in_left, idx - 1);
// //右子树的根的索引为先序中的 当前根位置 + 左子树的数量 + 1
// //递归右子树的左边界为中序中当前根节点+1
// //递归右子树的右边界为中序中原来右子树的边界
// root.right = recur(pre_root + (idx - in_left) + 1, idx + 1, in_right);
// return root;
// }
/**
* 官方题解
* 时间复杂度:O(n),其中 nn 是树中的节点个数。
*
* 空间复杂度:O(n),除去返回的答案需要的 O(n) 空间之外,
* 我们还需要使用 O(n) 的空间存储哈希映射,以及 O(h)(其中 h 是树的高度)的空间表示递归时栈空间。
* 这里 h < n,所以总空间复杂度为 O(n)。
*/
private Map<Integer, Integer> indexMap;
public TreeNode myBuildTree(int[] preorder, int[] inorder, int preorder_left, int preorder_right, int inorder_left, int inorder_right) {
if (preorder_left > preorder_right) return null;
// 前序遍历中的第一个节点就是根节点
int preorder_root = preorder_left;
// 在中序遍历中定位根节点
int inorder_root = indexMap.get(preorder[preorder_root]);
// 先把根节点建立出来
TreeNode root = new TreeNode(preorder[preorder_root]);
// 得到左子树中的节点数目
int size_left_subtree = inorder_root - inorder_left;
// 递归地构造左子树,并连接到根节点
// 先序遍历中「从 左边界+1 开始的 size_left_subtree」个元素就对应了中序遍历中「从 左边界 开始到 根节点定位-1」的元素
root.left = myBuildTree(preorder, inorder, preorder_left + 1, preorder_left + size_left_subtree, inorder_left, inorder_root - 1);
// 递归地构造右子树,并连接到根节点
// 先序遍历中「从 左边界+1+左子树节点数目 开始到 右边界」的元素就对应了中序遍历中「从 根节点定位+1 到 右边界」的元素
root.right = myBuildTree(preorder, inorder, preorder_left + size_left_subtree + 1, preorder_right, inorder_root + 1, inorder_right);
return root;
}
public TreeNode buildTree(int[] preorder, int[] inorder) {
int n = preorder.length;
// 构造哈希映射,帮助我们快速定位根节点
indexMap = new HashMap<Integer, Integer>();
for (int i = 0; i < n; i++) {
indexMap.put(inorder[i], i);
}
return myBuildTree(preorder, inorder, 0, n - 1, 0, n - 1);
}
public static class TreeNode {
int val;
TreeNode left;
TreeNode right;
TreeNode(int x) {
val = x;
}
}
方法二:迭代-栈
思路:找到根节点,左子树,右子树
- 我们用一个栈和一个指针辅助进行二叉树的构造。初始时栈中存放了根节点(前序遍历的第一个节点),指针指向中序遍历的第一个节点;
- 我们依次枚举前序遍历中除了第一个节点以外的每个节点。如果 index 恰好指向栈顶节点,那么我们不断地弹出栈顶节点并向右移动 index,并将当前节点作为最后一个弹出的节点的右儿子;如果 index 和栈顶节点不同,我们将当前节点作为栈顶节点的左儿子;
- 无论是哪一种情况,我们最后都将当前的节点入栈。
class Solution {
public TreeNode buildTree(int[] preorder, int[] inorder) {
if (preorder == null || preorder.length == 0) {
return null;
}
TreeNode root = new TreeNode(preorder[0]);
Deque<TreeNode> stack = new LinkedList<TreeNode>();
stack.push(root);
int inorderIndex = 0;
for (int i = 1; i < preorder.length; i++) {
int preorderVal = preorder[i];
TreeNode node = stack.peek();
if (node.val != inorder[inorderIndex]) {
node.left = new TreeNode(preorderVal);
stack.push(node.left);
} else {
while (!stack.isEmpty() && stack.peek().val == inorder[inorderIndex]) {
node = stack.pop();
inorderIndex++;
}
node.right = new TreeNode(preorderVal);
stack.push(node.right);
}
}
return root;
}
}
Go
func buildTree(preorder []int, inorder []int) *TreeNode {
if len(preorder) == 0 {
return nil
}
root := &TreeNode{preorder[0], nil, nil}
stack := []*TreeNode{}
stack = append(stack, root)
var inorderIndex int
for i := 1; i < len(preorder); i++ {
preorderVal := preorder[i]
node := stack[len(stack)-1]
if node.Val != inorder[inorderIndex] {
node.Left = &TreeNode{preorderVal, nil, nil}
stack = append(stack, node.Left)
} else {
for len(stack) != 0 && stack[len(stack)-1].Val == inorder[inorderIndex] {
node = stack[len(stack)-1]
stack = stack[:len(stack)-1]
inorderIndex++
}
node.Right = &TreeNode{preorderVal, nil, nil}
stack = append(stack, node.Right)
}
}
return root
}
链接: