数据结构和算法躬行记(3)——二叉树

184 阅读11分钟

  持续创作,加速成长!这是我参与「掘金日新计划 · 6 月更文挑战」的第 3 天,点击查看活动详情

  树是一种非线性表数据结构,树的基本概念如下所列。

  (1)结点高度:结点到叶子结点的最长路径(即边数)。例题:112. 路径总和

  (2)结点深度:根结点到这个结点所经历的边的个数。例题:104. 二叉树的最大深度

  (3)结点层数:结点深度加 1。

  (4)树的高度:根结点的高度。例题:面试题 04.02. 最小高度树

  后面几张这种类型的图都来源于《数据结构与算法之美》。

图 2

  (5)二叉树:只包含左右两个子结点的树(编号1)。

  (6)满二叉树:所有分支结点都存在左右子树,并且所有叶子结点都在同一层上(编号2)。例题:894. 所有可能的满二叉树

  (7)完全二叉树:叶子结点都在最底下两层,最后一层的叶子结点都靠左排列,并且除了最后一层,其余结点个数都要达到最大(编号3)。例题:222. 完全二叉树的结点个数

图 3

一、二叉树

1)实现

  有两种方法存储一棵二叉树,第一种是基于指针的链式存储法,如下所示

class Node {
  constructor(data) {
    this.data = data;
    this.left = null;
    this.right = null;
  }
}
class TreeList {
  constructor(datas) {
    this.root = null;
    datas.forEach((value) => {
      const node = new Node(value);
      if (this.root == null) {
        this.root = node;
        return;
      }
      this.insert(this.root, node);
    });
  }
  insert(parent, child) {
    if (parent.data > child.data) {
      parent.left === null
        ? (parent.left = child)
        : this.insert(parent.left, child);
      return;
    }
    parent.right === null
      ? (parent.right = child)
      : this.insert(parent.right, child);
  }
}

  第二种是基于数组的顺序存储法。

left = 2 * index + 1;        //左结点下标
right = 2 * index + 2;       //右结点下标

  例题:LeetCode的236. 二叉树的最近公共祖先,递归的在左右子树中查找两个指定的结点,最后判断公共祖先所在的位置。在当前结点的左子树,或在其右子树,又或者它就是两种的公共祖先。

2)遍历

  二叉树的遍历有四种(示例如下):

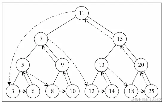
  (1)前序:先访问当前结点,然后访问左子树,再访问右子树。

  preOrder(root = this.root) {
    //前序
    if (!root) {
      return;
    }
    console.log(root.data);
    this.preOrder(root.left);
    this.preOrder(root.right);
  }

图 4

  面试题28 对称二叉树。前序遍历的变种是先访问右结点,再访问左结点,如果其遍历结果与前序遍历结果相同,就说明是对称的。

  面试题34 二叉树中和为某一值的路径。前序遍历首先访问根结点,在用前序遍历访问结点时,将其压入栈中,遇到叶结点,就求和判断结果是否符合要求。然后将叶结点出栈,回到父节点,继续遍历右子树,递归执行该过程。

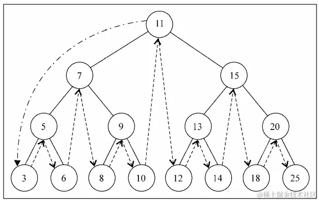
  (2)中序:先访问左子树,然后访问当前结点,再访问右子树。

  inOrder(root = this.root) {
    //中序
    if (!root) {
      return;
    }
    this.midOrder(root.left);
    console.log(root.data);
    this.midOrder(root.right);
  }

图 5

  面试题7 重建二叉树。前序遍历第一个数是根结点,中序遍历以根结点为界其两边分别是左右子树,递归构建左右子树。

  面试题54 BST中第 k 大的结点。中序遍历BST,得到的序列是递增的。

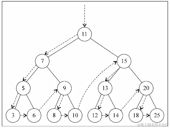
  (3)后序:先访问左子树,然后访问右子树,再访问当前结点。

  postOrder(root = this.root) {
    //后序
    if (!root) {
      return;
    }
    this.backOrder(root.left);
    this.backOrder(root.right);
    console.log(root.data);
  }

图 6

  面试题33 BST的后序遍历序列。序列的最后一个数字是根结点,左子树的结点都比根结点小,右子树的结点都比根结点大,递归执行该过程。

  (4)层序:自上而下,自左至右逐层访问树的结点。利用一个辅助队列来完成层序遍历。

  levelOrder(node = this.root) {
    //层序
    let queue = [];
    queue.push(node);               // 根结点入队
    while (queue.length) {
      node = queue.shift();         // 出队
      console.log(node.data);       // 访问该结点
      if (node.left) {
        // 如果它的左子树不为空
        queue.push(node.left);      // 将左子树的根结点入队
      }
      if (node.right) {
        // 如果它的右子树不为空
        queue.push(node.right);     // 将右子树的根结点入队
      }
    }
  }

  除了层序遍历之外,其余三种都采用递归的方式来遍历二叉树。

  有两种图的搜索算法,也适用于树。

  (1)广度优先搜索算法(Breadth-First Search,BFS)会从根结点开始遍历,先访问其所有的相邻点,就像一次访问树的一层,也就是先宽后深地访问结点,之前的层序遍历就是BFS,如下图左半部分。

  (2)深度优先搜索算法(Depth-First-Search,DFS)会从根结点开始遍历,沿着路径直到这条路径最后一个叶结点被访问,接着原路回退并探索下一条路径,也就是先深度后广度地访问结点,如下图右半部分。

  在《算法小抄》一文中曾强调先刷二叉树的LeetCode题目,因为很多难题本质上都是基于二叉树的遍历,例如LeetCode的124 题(二叉树中的最大路径和)、105 题(从前序与中序遍历序列构造二叉树)和99 题(恢复二叉搜索树)。

3)递归

  递归是一种应用广泛的编程技巧,如果要使用递归,需要满足三个条件。

  (1)一个问题的解可以分解为几个子问题的解。

  (2)这个问题与分解之后的子问题,除了数据规模不同,求解思路完全一样。

  (3)存在递归终止条件,即基线条件(Base Case)。

  注意,递归的关键就是找到将大问题分解为小问题的规律(推荐画出递归树),基于此写出递推公式,然后再推敲终止条件,并且需要警惕重复计算。下面是一个递归的大致模板。

function recursion(level, param1, param2, ...) {
  //递归的终止条件
  if(level > MAX_LEVEL) {
    console.log("result");
    return;
  }
  //数据处理
  processData(level, data1,...);
  //继续递归
  recursion(level + 1, p1, ...);
  //收尾工作
  reverseState(level);
}

  递归的数学模型就是归纳法,其过程如下。

  (1)基础情况:证明 P(b)语句成立,该步骤只需带入数字即可。

  (2)声明假设:假设 P(n)语句成立。

  (3)归纳步骤:证明如果 P(n)语句成立,那么 P(n+1) 语句也一定成立。

  例如设计一程序,求自然数 N 的阶乘 N!。

  (1)当 N=1 时,N!=1。

  (2)假设 P(N)=N!,P(N+1)=(N+1)!。

  (3)证明 P(N) 和 P(N+1) 的关系:

P(N+1) = (N+1)! = (N+1)×(N)×…×2×1 = (N+1)×N! = (N+1P(N)

  根据这个公式可构造一个递归函数:

function factorial(N) {
  return N * factorial(N - 1);   //递归部分
}

  在采用数学归纳法设计递归程序后,就能摆脱每一步的递推,直接根据分析就能转化为代码。

  试图想清楚整个递和归过程的做法,实际上是一种思维误区,不符合人脑平铺直叙的思维方式。

二、二叉查找树

  在二叉查找树(Binary Search Tree,BST)中,每个结点的值都大于左子结点,小于右子结点。当中序遍历BST时,就可在 O(n) 的时间复杂度内输出有序的结点。

  BST的时间复杂度和树的高度成正比,即 O(height),经过推导后,完全二叉树的高度(height)小于等于 log2^n。

  平衡二叉查找树的高度接近 logn,所以插入、删除、查找等操作的时间复杂度也比较稳定,都是 O(logn)。

1)操作

  在BST中查找一个结点的递归算法是(代码如下所示):

  (1)如果被查找的结点和根结点的值相等,则查找命中,否则就递归地的在适当的子树中继续查找。

  (2)如果被查找的结点值较小就选择左子树,否则就选择右子树。

  find(data) {
    //查找
    let node = this.root;
    while (node != null) {
      if (data == node.data) {
        return node;
      }
      data < node.data ? (node = node.left) : (node = node.right);
    }
    return null;
  }

  BST插入结点的过程和查找差不多,依次比较结点值和左右子树的大小。

  insert(parent, child) {
    //插入
    if (parent.data > child.data) {
      parent.left === null
        ? (parent.left = child)
        : this.insert(parent.left, child);
      return;
    }
    parent.right === null
      ? (parent.right = child)
      : this.insert(parent.right, child);
  }

  在BST中查找最大和最小的结点,以最小值为例,如果根结点的左链接为空,那么一棵BST中的最小值就是根结点;如果左链接非空,那么最小值就是左子树中的最小值。

  min(node = this.root) {
    //最小值
    if (node.left == null) return node;
    return this.min(node.left);
  }

2)删除

  针对删除结点的子结点个数的不同,需要分类讨论(代码如下所示):

  (1)如果没有子结点,那么只需将父结点中,链接删除结点的指针置为 null。

  (2)如果只有一个子结点,那么只需更新父结点中,链接删除结点的指针指向其子结点即可。

  (3)如果包含两个子结点,那么需要先找到该结点右子树中的最小结点,替换要删除的结点;然后再删除该最小结点,由于最小结点肯定没有左子结点,因此可以使用上面两条规则删除它。

图 7

  del(data) {
    //删除
    let p = this.root,         //p指向要删除的结点,初始化指向根结点
      parent = null;           //父结点
    while (p != null && p.data != data) {
      parent = p;
      data > p.data ? (p = p.right) : (p = p.left);
    }
    if (p == null) return;     //没有找到
    // 要删除的结点有两个子结点
    if (p.left != null && p.right != null) {
      //查找右子树中最小结点
      let minP = p.right,
        minParent = p;         //minParent表示minP的父结点
      while (minP.left != null) {
        minParent = minP;
        minP = minP.left;
      }
      p.data = minP.data;     //将minP的数据替换到p中
      p = minP;               //下面就变成了删除minP了
      parent = minParent;
    }
    // 删除结点是叶子结点或者仅有一个子结点
    let child;                 //p的子结点
    if (p.left != null) child = p.left;
    else if (p.right != null) child = p.right;
    else child = null;
    if (parent == null) this.root = child;
    // 删除的是根结点
    else if (parent.left == p) parent.left = child;
    else parent.right = child;
  }

3)数据重复

  要让BST支持重复数据,可以有两种处理方式。

  (1)在每个结点中增加一个链表,把相同的值存储到链表中。

  (2)将相同的值插入到结点的右子树中,作为大于这个结点来处理。

4)平衡二叉查找树

  平衡二叉树是指任意一个结点的左右子树的高度相差不能大于 1,让整棵树左右看起来比较对称和平衡,不要出现左子树很高、右子树很矮的情况。

  在下面的示例中,height()函数会自顶向下递归的计算结点的高度,isBalanced()函数会判断左右子树的高度差。

function isBalanced(root) {
  if (root == null) return true;
  if (Math.abs(height(root.left) - height(root.right)) > 1) {
    return false;
  }
  return isBalanced(root.left) && isBalanced(root.right);
}
function height(root) {
  if (root == null) return 0;
  return Math.max(height(root.left) + 1, height(root.right) + 1);
}

三、堆

  堆(heap)是一种特殊的树形数据结构,它有两个特性:

  (1)必须是一棵完全二叉树。

  (2)结点的值要大于等于或小于等于两个子结点的值。

  当结点的值小于等于两个子结点的值,称之为小顶堆;当结点的值大于等于两个子结点的值,称之为大顶堆。

1)实现

  往堆中插入一个元素后,需要继续满足堆的两个特性,这个过程叫做堆化(heapify),下面的示例在构建一个大顶堆。

function heapify(arr, x, len) {
  let l = 2 * x + 1,      //左结点
    r = 2 * x + 2,        //右结点
    largest = x,
    temp;
  if (l < len && arr[l] > arr[largest]) {
    largest = l;
  }
  if (r < len && arr[r] > arr[largest]) {
    largest = r;
  }
  if (largest != x) {    //交换位置
    temp = arr[x];
    arr[x] = arr[largest];
    arr[largest] = temp;
    heapify(arr, largest, len);
  }
}
const tree = [4, 5, 1, 2, 3, 6],
  heapSize = tree.length;
for (let i = Math.floor(heapSize / 2) - 1; i >= 0; i--) {
  heapify(tree, i, heapSize);
}

2)堆排序

  堆排序是一种原地的、时间复杂度为 O(nlogn) 的不稳定排序算法。排序主要分为两个过程:一是构建堆;二是交换堆顶元素与最后一个元素的位置,如下所示

function heapSort(arr) {
  let heapSize = arr.length,
    temp;
  //建堆
  for (let i = Math.floor(heapSize / 2) - 1; i >= 0; i--) {
    heapify(arr, i, heapSize);
  }
  //堆排序
  for (let j = heapSize - 1; j >= 1; j--) {
    temp = arr[0];
    arr[0] = arr[j];
    arr[j] = temp;
    heapify(arr, 0, --heapSize);
  }
  return arr;
}

3)应用

  堆有几个非常重要的应用,例如优先级队列、求Top K和求中位数。例题:703. 数据流中的第K大元素剑指 Offer 41. 数据流中的中位数

  其中求中位数的方法很巧妙,会维护两个堆:大顶堆和小顶堆。大顶堆中存储前半部分数据,小顶堆中存储后半部分数据,且小顶堆中的数据都大于大顶堆中的数据。如果有 n 个数据:

  (1)当 n 是偶数时,前 2/n​ 个数据存储在大顶堆中,后 2/n​ 个数据存储在小顶堆中。

  (2)当 n 是奇数时,大顶堆就存储 2/n​+1 个数据,小顶堆中就存储 2n​ 个数据。

  这样,大顶堆中的堆顶元素就是要找的中位数。