「leetCode」515-在每个树行中找最大值⚡️

301 阅读2分钟

持续创作,加速成长!这是我参与「掘金日新计划 · 6 月更文挑战」的第3天,点击查看活动详情

大家好,我是速冻鱼🐟,一条水系前端💦,喜欢花里胡哨💐,持续沙雕🌲,是隔壁寒草🌿的好兄弟,刚开始写文章。 如果喜欢我的文章,可以关注➕点赞,为我注入能量,与我一同成长吧~

题目🦀

515. 在每个树行中找最大值

难度中等

给定一棵二叉树的根节点 root ,请找出该二叉树中每一层的最大值。

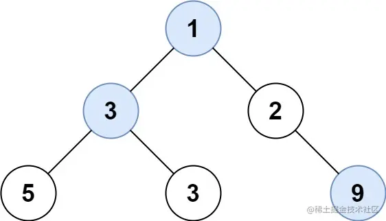
示例1:

img

输入: root = [1,3,2,5,3,null,9]
输出: [1,3,9]

示例2:

输入: root = [1,2,3]
输出: [1,3]

提示:

  • 二叉树的节点个数的范围是 [0,104]
  • -231 <= Node.val <= 231 - 1

解题思路🌵

  • 此题同样采用层序遍历
  • 在每层遍历时初始化currentMax记录当前层的最大值
  • 遍历每层结点个数时,跟新currentMax

解题步骤🌟

  • 此题采用层序遍历
  • 处理边界条件
  • 初始化queue
  • 遍历queue
  • 遍历每一层,每一层都初始化一个currentMax记录当前层的最大值
  • 遍历每一层的结点,更新currentMax
  • 当前层遍历玩之后,将当前层currentMax放入result中
  • 最后返回result

源码🔥

/**
 * Definition for a binary tree node.
 * function TreeNode(val, left, right) {
 *     this.val = (val===undefined ? 0 : val)
 *     this.left = (left===undefined ? null : left)
 *     this.right = (right===undefined ? null : right)
 * }
 */
/**
 * @param {TreeNode} root
 * @return {number[]}
 */
var largestValues = function(root) {
    if(!root){
        return []
    }
    const result = []
    const deque = [root]

    while(deque.length){

        let len = deque.length
        let currentMax = -Infinity
        while(len--){
            const node = deque.shift()
            currentMax = Math.max(currentMax,node.val)
            node.left && deque.push(node.left)
            node.right && deque.push(node.right)
        }
        result.push(currentMax)
    }
    return result
};

时间复杂度:O(N)

空间复杂度:O(1)

结束语🌞

那么鱼鱼的LeetCode算法篇的「leetCode」515-在每个树行中找最大值⚡️就结束了,虽然前端对算法要求没有后端高,但是算法是编程基础,程序=数据结构➕算法,所以算法这个东西没有捷径,只能多写多练,多总结,文章的目的其实很简单,就是督促自己去完成算法练习并总结和输出,菜不菜不重要,但是热爱🔥,喜欢大家能够喜欢我的短文,也希望通过文章认识更多志同道合的朋友,如果你也喜欢折腾,欢迎加我好友,一起沙雕,一起进步

github🤖:sudongyu

个人博客👨‍💻:速冻鱼blog

vx👦:sudongyuer

写在最后

伙伴们,如果喜欢我的口水话给🐟🐟点一个赞👍或者关注➕都是对我最大的支持。