opencv 图像梯度(python)

373 阅读9分钟

图像梯度

图像梯度计算的是图像变化的速度。

对于图像的边缘部分,其灰度值变化较大,梯度值也较大;相反,对于图像中比较平滑的部分,其灰度值变化较小,相应的梯度值也较小。

图像梯度计算需要求导数,但是图像梯度一般通过计算像素值的差来得到梯度的近似值(近似导数值)。(差分,离散)

Sobel算子、Scharr算子和Laplacian算子的使用。

Sobel理论基础

Sobel算子是一种离散的微分算子,该算子结合了高斯平滑和微分求导运算。

该算子利用局部差分寻找边缘,计算所得的是一个梯度的近似值。

image-20220527105857422

滤波器通常是指由一幅图像根据像素点(x, y)临近的区域计算得到另外一幅新图像的算法。

滤波器是由邻域及预定义的操作构成的

滤波器规定了滤波时所采用的形状以及该区域内像素值的组成规律。滤波器也被称为“掩模”、“核”、“模板”、“窗口”、“算子”等。

一般信号领域将其称为“滤波器”,数学领域将其称为“核”。

线性滤波器: 滤波的目标像素点的值等于原始像素值及其周围像素值的加权和。这种基于线性核的滤波,就是所熟悉的卷积。

计算水平方向偏导数的近似值

将Sobel算子与原始图像src进行卷积计算,可以计算水平方向上的像素值变化情况。

例如,当Sobel算子的大小为3×3时,水平方向偏导数Gx的计算方式为:

image-20220527110103452

计算垂直方向偏导数的近似值

当Sobel算子的大小为3×3时,垂直方向偏导数Gy的计算方式为:

image-20220527110129038

Sobel算子及函数使用

使用函数cv2.Sobel()实现Sobel算子运算,其语法形式为:

dst = cv2.Sobel( src, ddepth, dx, dy[, ksize[, scale[, delta[, borderType]]]] ) 
  • dst代表目标图像
  • src代表原始图像
  • ddepth代表输出图像的深度

image-20220527110250660

  • dx代表x方向上的求导阶数。

  • dy代表y方向上的求导阶数。

  • ksize代表Sobel核的大小。该值为-1时,则会使用Scharr算子进行运算。

  • scale代表计算导数值时所采用的缩放因子,默认情况下该值是1,是没有缩放的。

  • delta代表加在目标图像dst上的值,该值是可选的,默认为0。

  • borderType代表边界样式。

    image-20220527110351006

注意点:参数ddepth

在函数cv2.Sobel()的语法中规定,可以将函数cv2.Sobel()内ddepth参数的值设置为-1,让处理结果与原始图像保持一致。但是,如果直接将参数ddepth的值设置为-1,在计算时得到的结果可能是错误的。

在实际操作中,计算梯度值可能会出现负数。如果处理的图像是8位图类型,则在ddepth的参数值为-1时,意味着指定运算结果也是8位图类型,那么所有负数会自动截断为0,发生信息丢失。为了避免信息丢失,在计算时要先使用更高的数据类型cv2.CV_64F,再通过取绝对值将其映射为cv2.CV_8U(8位图)类型。

通常要将函数cv2.Sobel()内参数ddepth的值设置为“cv2.CV_64F”。

要将偏导数取绝对值,以保证偏导数总能正确地显示出来。

在OpenCV中,使用函数cv2.convertScaleAbs()对参数取绝对值,该函数的语法格式为:

dst = cv2.convertScaleAbs( src [, alpha[, beta]] )
  • dst代表处理结果。
  • src代表原始图像。
  • alpha代表调节系数,该值是可选值,默认为1。
  • beta代表调节亮度值,该值是默认值,默认为0。

该函数的作用是将原始图像src转换为256色位图,其可以表示为:

dst=saturate(src*alpha+beta)

式中,saturate()表示计算结果的最大值是饱和值,例如: 当“src*alpha+beta”的值超过255时,其取值为255。

**例子:**使用函数cv2.convertScaleAbs()对一个随机数组取绝对值。

import cv2 
import numpy as np 
img=np.random.randint(-256,256, size=[4,5], dtype=np.int16) 
rst=cv2.convertScaleAbs(img) 
print("img=\n", img) 
print("rst=\n", rst) 
方向

在函数cv2.Sobel()中,参数dx表示x轴方向的求导阶数,参数dy表示y轴方向的求导阶数。参数dx和dy通常的值为0或者1,最大值为2。

如果是0,表示在该方向上没有求导。当然,参数dx和参数dy的值不能同时为0。

参数dx和参数dy可以有多种形式的组合,主要包含:

  • 计算x方向边缘(梯度):dx=0, dy=1。
  • 计算y方向边缘(梯度):dx=1, dy=0。
  • 参数dx与参数dy的值均为1:dx=1, dy=1。
  • 计算x方向和y方向的边缘叠加:通过组合方式实现。

例子

“dx=1, dy=0”。当然,也可以设置为“dx=2, dy=0”。此时,会仅仅获取垂直方向的边缘信息,此时的语法格式为:

dst = cv2.Sobel( src , ddepth , 1 , 0 ) 

“dx=0, dy=1”。当然,也可以设置为“dx=0, dy=2”。此时,会仅仅获取水平方向的边缘信息,此时的语法格式为:

dst = cv2.Sobel( src , ddepth , 0 , 1 ) 

“dx=1, dy=1”,也可以设置为“dx=2, dy=2”,或者两个参数都不为零的其他情况。此时,会获取两个方向的边缘信息,此时的语法格式为:

dst = cv2.Sobel( src , ddepth , 1 , 1 )
计算x方向和y方向的边缘叠加

如果想获取x方向和y方向的边缘叠加,需要分别获取水平方向、垂直方向两个方向的边缘图,然后将二者相加。

dx= cv2.Sobel( src , ddepth , 1 , 0 ) 
dy= cv2.Sobel( src , ddepth , 0 , 1 ) 
dst=cv2.addWeighted( src1 , alpha , src2 , beta , gamma ) 

例子

使用函数cv2.Sobel()获取图像水平方向的完整边缘信息

将参数ddepth的值设置为cv2.CV_64F,并使用函数cv2.convertScaleAbs()对cv2.Sobel()的计算结果取绝对值。

import cv2 
o = cv2.imread('Sobel4.bmp', cv2.IMREAD_GRAYSCALE) 
Sobelx = cv2.Sobel(o, cv2.CV_64F,0,1) 
Sobelx = cv2.convertScaleAbs(Sobelx) 
cv2.imshow("original", o) 
cv2.imshow("x", Sobelx) 
cv2.waitKey() 
cv2.destroyAllWindows() 

计算函数cv2.Sobel()在水平、垂直两个方向叠加的边缘信息。

import cv2 
o = cv2.imread('Sobel4.bmp', cv2.IMREAD_GRAYSCALE) 
Sobelx = cv2.Sobel(o, cv2.CV_64F,1,0) 
Sobely = cv2.Sobel(o, cv2.CV_64F,0,1) 
Sobelx = cv2.convertScaleAbs(Sobelx) 
Sobely = cv2.convertScaleAbs(Sobely) 
Sobelxy =  cv2.addWeighted(Sobelx,0.5, Sobely,0.5,0) 
cv2.imshow("original", o) 
cv2.imshow("xy", Sobelxy) 
cv2.waitKey() 
cv2.destroyAllWindows() 
Scharr算子及函数使用

在离散的空间上,有很多方法可以用来计算近似导数,在使用3×3的Sobel算子时,可能计算结果并不太精准。

OpenCV提供了Scharr算子,该算子具有和Sobel算子同样的速度,且精度更高。

可以将Scharr算子看作对Sobel算子的改进,其核通常为:

image-20220527111642611

OpenCV提供了函数cv2.Scharr()来计算Scharr算子,其语法格式如下:

dst = cv2.Scharr( src, ddepth, dx, dy[, scale[, delta[, borderType]]] ) 
  • dst代表输出图像。
  • src代表原始图像。
  • ddepth代表输出图像深度。该值与函数cv2.Sobel()中的参数ddepth的含义相同
  • dx代表x方向上的导数阶数。
  • dy代表y方向上的导数阶数。
  • scale代表计算导数值时的缩放因子,该项是可选项,默认值是1,表示没有缩放。
  • delta代表加到目标图像上的亮度值,该项是可选项,默认值为0。
  • borderType代表边界样式。

在函数cv2.Sobel()中,如果ksize=-1,则会使用Scharr滤波器。

如下语句:

dst=cv2.Scharr(src, ddepth, dx, dy)

dst=cv2.Sobel(src, ddepth, dx, dy, -1) 

是等价的。

函数cv2.Scharr()和函数cv2.Sobel()的使用方式基本一致。

参数ddepth的值应该设置为“cv2.CV_64F”,并对函数cv2.Scharr()的计算结果取绝对值,才能保证得到正确的处理结果。

具体语句为:

dst=Scharr(src, cv2.CV_64F, dx, dy) 
dst= cv2.convertScaleAbs(dst) 

在函数cv2.Scharr()中,要求参数dx和dy满足条件:

  • dx >= 0 && dy >= 0 && dx+dy == 1

    和Sobel 不同, Scharr 的dx+dy 必须为1

参数dx和参数dy的组合形式有:

  • 计算x方向边缘(梯度):dx=0, dy=1。
  • 计算y方向边缘(梯度): dx=1, dy=0。
  • 计算x方向与y方向的边缘叠加:通过组合方式实现。

例子

  1. 计算x方向边缘(梯度):dx=1, dy=0

    dst=Scharr(src, ddpeth, dx=1, dy=0) 
    
  2. 计算y方向边缘(梯度):dx=0, dy=1

    dst=Scharr(src, ddpeth, dx=0, dy=1)
    
  3. 计算x方向与y方向的边缘叠加

    将两个方向的边缘相加

    dx=Scharr(src, ddpeth, dx=1, dy=0) 
    dy=Scharr(src, ddpeth, dx=0, dy=1) 
    Scharrxy=cv2.addWeighted(dx,0.5, dy,0.5,0) 
    

    参数dx和dy的值不能都为1

Sobel算子和Scharr算子的比较

Sobel算子的缺点是,当其核结构较小时,精确度不高,而Scharr算子具有更高的精度。

Sobel算子和Scharr算子的核结构:

image-20220527112615281

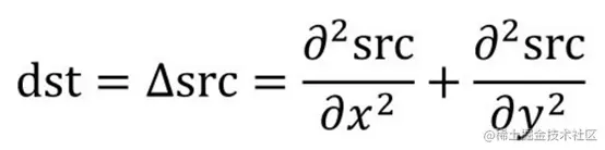
Laplacian算子及函数使用

Laplacian(拉普拉斯)算子是一种二阶导数算子,其具有旋转不变性,可以满足不同方向的图像边缘锐化(边缘检测)的要求。

通常情况下,其算子的系数之和需要为零。

一个3×3大小的Laplacian算子

image-20220527112711518

Laplacian算子类似二阶Sobel导数,需要计算两个方向的梯度值。

计算结果的值可能为正数,也可能为负数。所以,需要对计算结果取绝对值,以保证后续运算和显示都是正确的。

在OpenCV内使用函数cv2.Laplacian()实现Laplacian算子的计算,该函数的语法格式为:

dst = cv2.Laplacian( src, ddepth[, ksize[, scale[, delta[, borderType]]]] ) 
  • dst代表目标图像。
  • src代表原始图像。
  • ddepth代表目标图像的深度。
  • ksize代表用于计算二阶导数的核尺寸大小。该值必须是正的奇数。
  • scale代表计算Laplacian值的缩放比例因子,该参数是可选的。默认情况下,该值为1,表示不进行缩放。
  • delta代表加到目标图像上的可选值,默认为0。
  • borderType代表边界样式。

该函数分别对x、y方向进行二次求导,具体为:

image-20220527112917252

上式是当ksize的值大于1时的情况。当ksize的值为1时,Laplacian算子计算时采用的3×3的核如下:

image-20220527112947951

通过从图像内减去它的Laplacian图像,可以增强图像的对比度,此时其算子为:

image-20220527113033697

例子: 使用函数cv2.Laplacian()计算图像的边缘信息。

import cv2 
o = cv2.imread('Laplacian.bmp', cv2.IMREAD_GRAYSCALE) 
Laplacian = cv2.Laplacian(o, cv2.CV_64F) 
Laplacian = cv2.convertScaleAbs(Laplacian) 
cv2.imshow("original", o) 
cv2.imshow("Laplacian", Laplacian) 
cv2.waitKey() 
cv2.destroyAllWindows() 
算子总结

Sobel算子、Scharr算子、Laplacian算子都可以用作边缘检测

image-20220527113146338

Sobel算子和Scharr算子计算的都是一阶近似导数的值。通常情况下,可以将它们表示为:

  • Sobel算子= |左-右| 或 |下-上|

  • Scharr算子=|左-右| 或 |下-上|

Laplacian算子计算的是二阶近似导数值,可以将它表示为:

  • Laplacian算子=|中-左| + |中-右| + |中-下| + |中-上|