力扣98. 验证二叉搜索树

124 阅读2分钟

持续创作,加速成长!这是我参与「掘金日新计划 · 6 月更文挑战」的第3天,点击查看活动详情

力扣98. 验证二叉搜索树

一、题目描述:

给你一个二叉树的根节点 root ,判断其是否是一个有效的二叉搜索树。

有效 二叉搜索树定义如下:

节点的左子树只包含 小于 当前节点的数。

节点的右子树只包含 大于 当前节点的数。

所有左子树和右子树自身必须也是二叉搜索树。

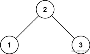
示例 1:

img

输入:root = [2,1,3]

输出:true

示例 2:

img

输入:root = [5,1,4,null,null,3,6]

输出:false

解释:根节点的值是 5 ,但是右子节点的值是 4 。

提示:

树中节点数目范围在[1, 10^4] 内

-2^31 <= Node.val <= 2^31 - 1

来源:力扣(LeetCode)

链接:leetcode.cn/problems/va…

著作权归领扣网络所有。商业转载请联系官方授权,非商业转载请注明出处。

二、思路分析:

  1. 这道题考察了什么思想?你的思路是什么?

    这道题目就是判断一个树是不是二叉搜索树,二叉搜索树就是每一个节点的左子树节点都比它小,每一个节点的右子树所有节点都比它的值大,而每一个节点的左子树所有节点都比它的值小。所以为了避免每一次都要求节点的子树最大值与最小值,我们将最大值与最小值保存。然后递归的判断每个节点是不是介于最大值与最小值之间。

  2. 做题的时候是不是一次通过的,遇到了什么问题,需要注意什么细节?

    不是,刚开始没注意二叉搜索树就是每一个节点的左子树节点都比它小,每一个节点的右子树所有节点都比它的值大,而每一个节点的左子树所有节点都比它的值小,以为只需要比较他的左右两个节点即可。

  3. 有几种解法,哪种解法时间复杂度最低,哪种解法空间复杂度最低,最优解法是什么?其他人的题解是什么,谁的效率更好一些?用不同语言实现的话,哪个语言速度最快?

image.png

作者:novice2master

链接:leetcode.cn/problems/va…

来源:力扣(LeetCode) 著作权归作者所有。商业转载请联系作者获得授权,非商业转载请注明出处。

三、AC 代码:

 /**
  * Definition for a binary tree node.
  * struct TreeNode {
  *     int val;
  *     struct TreeNode *left;
  *     struct TreeNode *right;
  * };
  */
 ​
 bool judge(struct TreeNode* root,long long min, long long max){
     if(root == NULL) return true;
     if(root->val >= max || root->val <= min){
         return false;
     }
     return judge(root->left,min,root->val) && judge(root->right,root->val,max);
 }
 bool isValidBST(struct TreeNode* root){
     return judge(root,LONG_MIN,LONG_MAX);
 }
 ​

四、总结:

题目链接:98. 验证二叉搜索树

很好玩的一道题目!!!需要经常复习!!!