LeetCode - #83 删除排序链表中的重复元素

2,183 阅读1分钟

持续创作,加速成长!这是我参与「掘金日新计划 · 6 月更文挑战」的第2天,点击查看活动详情

前言

我们社区陆续会将顾毅(Netflix 增长黑客,《iOS 面试之道》作者,ACE 职业健身教练。)的 Swift 算法题题解整理为文字版以方便大家学习与阅读。

LeetCode 算法到目前我们已经更新了 82 期,我们会保持更新时间和进度(周一、周三、周五早上 9:00 发布),每期的内容不多,我们希望大家可以在上班路上阅读,长久积累会有很大提升。

不积跬步,无以至千里;不积小流,无以成江海,Swift社区 伴你前行。如果大家有建议和意见欢迎在文末留言,我们会尽力满足大家的需求。

难度水平:简单

1. 描述

给定一个已排序的链表的头 head删除所有重复的元素,使每个元素只出现一次 。返回 已排序的链表

2. 示例

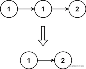
示例 1

输入:head = [1,1,2]
输出:[1,2]

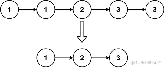
示例 2

输入:head = [1,1,2,3,3]
输出:[1,2,3]

约束条件:

  • 链表中节点数目在范围 [0, 300]
  • -100 <= Node.val <= 100
  • 题目数据保证链表已经按升序 排列

3. 答案

/**
 * Definition for singly-linked list.
 * public class ListNode {
 *     public var val: Int
 *     public var next: ListNode?
 *     public init(_ val: Int) {
 *         self.val = val
 *         self.next = nil
 *     }
 * }
 */
class RemoveDuplicatesFromSortedList {
    func deleteDuplicates(_ head: ListNode?) -> ListNode? {
        guard let head = head else {
            return nil
        }
    
        var curt = head
        
        while curt.next != nil {
            if curt.next!.val == curt.val {
                curt.next = curt.next!.next
            } else {
                curt = curt.next!
            }
        }
        
        return head
    }
}
  • 主要思想:迭代列表,通过将 next 替换为 next.next 跳过重复项。
  • 时间复杂度: O(n)
  • 空间复杂度: O(1)

该算法题解的仓库:LeetCode-Swift

点击前往 LeetCode 练习

关于我们

我们是由 Swift 爱好者共同维护,我们会分享以 Swift 实战、SwiftUI、Swift 基础为核心的技术内容,也整理收集优秀的学习资料。