力扣112. 路径总和

771 阅读3分钟

持续创作,加速成长!这是我参与「掘金日新计划 · 6 月更文挑战」的第1天,点击查看活动详情

力扣112. 路径总和

一、题目描述:

给你二叉树的根节点 root 和一个表示目标和的整数 targetSum 。判断该树中是否存在 根节点到叶子节点 的路径,这条路径上所有节点值相加等于目标和 targetSum 。如果存在,返回 true ;否则,返回 false 。

叶子节点 是指没有子节点的节点。

示例 1:

img

输入:root = [5,4,8,11,null,13,4,7,2,null,null,null,1], targetSum = 22

输出:true

解释:等于目标和的根节点到叶节点路径如上图所示。

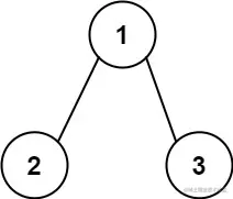
示例 2:

img

输入:root = [1,2,3], targetSum = 5

输出:false

解释:树中存在两条根节点到叶子节点的路径:

(1 --> 2): 和为 3

(1 --> 3): 和为 4

不存在 sum = 5 的根节点到叶子节点的路径。

示例 3:

输入:root = [], targetSum = 0

输出:false

解释:由于树是空的,所以不存在根节点到叶子节点的路径。

提示:

树中节点的数目在范围 [0, 5000] 内

-1000 <= Node.val <= 1000

-1000 <= targetSum <= 1000

来源:力扣(LeetCode) 链接:leetcode.cn/problems/pa… 著作权归领扣网络所有。商业转载请联系官方授权,非商业转载请注明出处。

二、思路分析:

  1. 这道题考察了什么思想?你的思路是什么?

    这道题目本质上就是二叉树的遍历,不过需要在遍历时对路径进行求和,需要防止重复计算。

    我们需要先判断根节点是否为空,如果为空,根据示例3,也是返回false,由于树是空的,所以不存在根节点到叶子节点的路径。

    如果根节点只有一个根节点,就直接比较根节点的值与参数sum即可。

    不然,我们就递归判断,我们每次递归每个节点的左右节点,并减去每个节点的val值,上面也是递归结束的条件。

  2. 做题的时候是不是一次通过的,遇到了什么问题,需要注意什么细节?

    是一次通过的。需要注意递归退出条件以及节点为空时的情况。

  3. 有几种解法,哪种解法时间复杂度最低,哪种解法空间复杂度最低,最优解法是什么?其他人的题解是什么,谁的效率更好一些?用不同语言实现的话,哪个语言速度最快?

     /**
      * Definition for a binary tree node.
      * struct TreeNode {
      *     int val;
      *     struct TreeNode *left;
      *     struct TreeNode *right;
      * };
      */
     ​
     bool hasPathSum(struct TreeNode *root, int sum) {
         if (root == NULL) {
             return false;
         }
         if (root->left == NULL && root->right == NULL) {
             return sum == root->val;
         }
         return hasPathSum(root->left, sum - root->val) || hasPathSum(root->right, sum - root->val);
     }
    

    还有大佬写的BFS:

     typedef struct queNode {
         int val;
         struct TreeNode *node;
         struct queNode *next;
     } queNode;
     ​
     void init(struct queNode **p, int val, struct TreeNode *node) {
         (*p) = (struct queNode *)malloc(sizeof(struct queNode));
         (*p)->val = val;
         (*p)->node = node;
         (*p)->next = NULL;
     }
     ​
     bool hasPathSum(struct TreeNode *root, int sum) {
         if (root == NULL) {
             return false;
         }
         struct queNode *queLeft, *queRight;
         init(&queLeft, root->val, root);
         queRight = queLeft;
         while (queLeft != NULL) {
             struct TreeNode *now = queLeft->node;
             int temp = queLeft->val;
             if (now->left == NULL && now->right == NULL) {
                 if (temp == sum) return true;
             }
             if (now->left != NULL) {
                 init(&queRight->next, now->left->val + temp, now->left);
                 queRight = queRight->next;
             }
             if (now->right != NULL) {
                 init(&queRight->next, now->right->val + temp, now->right);
                 queRight = queRight->next;
             }
             queLeft = queLeft->next;
         }
         return false;
     }
     ​
     作者:LeetCode-Solution
     链接:https://leetcode.cn/problems/path-sum/solution/lu-jing-zong-he-by-leetcode-solution/
     来源:力扣(LeetCode)
     著作权归作者所有。商业转载请联系作者获得授权,非商业转载请注明出处。
    

三、AC 代码:

同上。

四、总结:

题目链接:112. 路径总和

这道题目需要多刷刷几次,递归方法要掌握,建议二刷。