【每日一题】删除排序链表中的重复元素

163 阅读2分钟

🌟个人博客:www.hellocode.top🌟

⭐所有文章均在上方博客首发,其他平台同步更新

🔥本文专栏:《每日一题》

⚡如有问题,欢迎指正,一起学习~~

文章部分参考《代码随想录》,如有侵权,请联系删除~~


  • 时间:2022-05-21
  • 题目序号:83
  • 难度:简单

问题描述

给定一个已排序的链表的头 head删除所有重复的元素,使每个元素只出现一次 。返回 已排序的链表

来源:力扣(LeetCode)

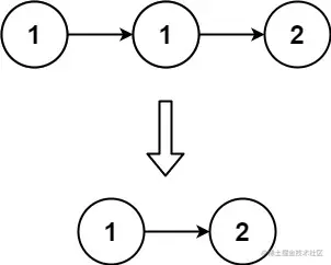
示例1

img

输入:head = [1,1,2]
输出:[1,2]

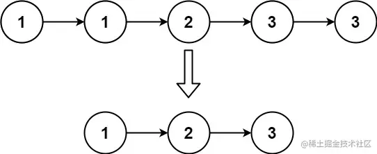
示例2

img

输入:head = [1,1,2,3,3]
输出:[1,2,3]

提示

  • 链表中节点数目在范围 [0, 300]
  • -100 <= Node.val <= 100
  • 题目数据保证链表已经按升序 排列

解题思路

这题比较简单,就不做额外的图片说明了,如果不理解的话可以根据代码配合题目描述中的示例图思考

  • 首先,根据题意可知链表中的数据是有序的
  • 根据有序,我们可以知道,相同的元素一定是连续的(一个挨一个)
  • 因此,需要删除相同元素,我们只需要一层循环,并加一个判断
  • 在循环过程中,如果当前结点和next结点值相同,就删除next结点 cur.val == cur.next.val=>cur.next = cur.next.next

注意:如果传进来的链表本身就是一个空链表,我们需要对其做出判断并处理

代码实现

class Solution {
    public ListNode deleteDuplicates(ListNode head) {
        if(head == null){       // 空链表
            return head;
        }
        ListNode cur = head;
        while(cur.next != null){
            if(cur.val == cur.next.val){        // 重复元素
                cur.next = cur.next.next;       // 删除结点
            }else{
                cur = cur.next;         // 指针后移
            }
        }
        return head;
    }
}

总结

  • 本题比较简单,但仍需注意循环条件的临界点问题
  • 因为最后需要返回链表头结点,因此在遍历链表时不能直接使用head,而是用cur当作指针进行不断后移 如果使用head遍历,最后就没有头结点作为返回值了