opencv Canny边缘检测(python)

446 阅读5分钟

Canny边缘检测

Canny边缘检测是一种使用多级边缘检测算法检测边缘的方法。

OpenCV提供了函数cv2.Canny()实现Canny边缘检测。

Canny边缘检测基础

Canny边缘检测分为如下几个步骤:

  • 去噪。噪声会影响边缘检测的准确性,因此首先要将噪声过滤掉。
  • 计算梯度的幅度与方向
  • 非极大值抑制,即适当地让边缘“变瘦”
  • 确定边缘。使用双阈值算法确定最终的边缘信息
高斯滤波去除图像噪声

图像边缘非常容易受到噪声的干扰,因此为了避免检测到错误的边缘信息,通常需要对图像进行滤波以去除噪声。

滤波的目的是平滑一些纹理较弱的非边缘区域,以便得到更准确的边缘。在实际处理过程中,通常采用高斯滤波去除图像中的噪声。

在滤波过程中,通过滤波器对像素点周围的像素计算加权平均值,获取最终滤波结果。

对于高斯滤波器,越临近中心的点,权值越大。

滤波器的大小也是可变的,高斯核的大小对于边缘检测的效果具有很重要的作用。滤波器的核越大,边缘信息对于噪声的敏感度就越低。不过,核越大,边缘检测的定位错误也会随之增加。通常来说,一个5×5的核能够满足大多数的情况

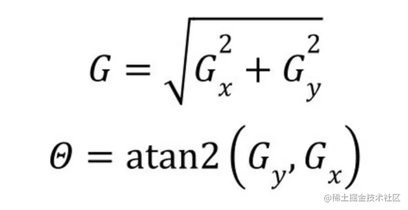
计算梯度

关注梯度的方向,梯度的方向与边缘的方向是垂直的。

边缘检测算子返回水平方向的Gx和垂直方向的Gy。

梯度的幅度G和方向Θ(用角度值表示)为:

image-20220524111253185

atan2(·)表示具有两个参数的arctan函数。

梯度的方向总是与边缘垂直的,通常就近取值为水平(左、右)、垂直(上、下)、对角线(右上、左上、左下、右下)等8个不同的方向。

在计算梯度时,我们会得到梯度的幅度和角度(代表梯度的方向)两个值。

梯度的表示法: 其中,每一个梯度包含幅度和角度两个不同的值。为了方便观察,这里使用了可视化表示方法。

image-20220524105023355

左上角顶点的值“2↑”实际上表示的是一个二元数对“(2, 90)”,表示梯度的幅度为2,角度为90°。

非极大值抑制

在获得了梯度的幅度和方向后,遍历图像中的像素点,去除所有非边缘的点。

在具体实现时,逐一遍历像素点,判断当前像素点是否是周围像素点中具有相同梯度方向的最大值,并根据判断结果决定是否抑制该点。

通过以上描述可知,该步骤是边缘细化的过程。针对每一个像素点:

  • 如果该点是正/负梯度方向上的局部最大值,则保留该点。

  • 如果不是,则抑制该点(归零)。

    (梯度方向垂直于边缘)

    “正/负梯度方向上”是指相反方向的梯度方向。

对于同一个方向的若干个边缘点,基本上仅保留了一个,因此实现了边缘细化的目的。

应用双阈值确定边缘

完成上述步骤后,图像内的强边缘已经在当前获取的边缘图像内。但是,一些虚边缘可能也在边缘图像内。

这些虚边缘可能是真实图像产生的,也可能是由于噪声所产生的。对于后者,必须将其剔除。

设置两个阈值,其中一个为高阈值maxVal,另一个为低阈值minVal。

根据当前边缘像素的梯度值(指的是梯度幅度)与这两个阈值之间的关系,判断边缘的属性。

具体步骤为:

  • 如果当前边缘像素的梯度值大于或等于maxVal,则将当前边缘像素标记为强边缘。
  • 如果当前边缘像素的梯度值介于maxVal与minVal之间,则将当前边缘像素标记为虚边缘(需要保留)。
  • 如果当前边缘像素的梯度值小于或等于minVal,则抑制当前边缘像素。

在上述过程中,我们得到了虚边缘,需要对其做进一步处理。

一般通过判断虚边缘与强边缘是否连接,来确定虚边缘到底属于哪种情况。

通常情况下,如果一个虚边缘:

  • 与强边缘连接,则将该边缘处理为边缘。

  • 与强边缘无连接,则该边缘为弱边缘,将其抑制。

    img

高阈值maxVal和低阈值minVal不是固定的,需要针对不同的图像进行定义。

Canny函数及使用

OpenCV提供了函数cv2.Canny()来实现Canny边缘检测,其语法形式如下:

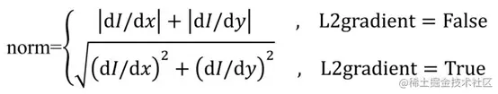
edges = cv.Canny( image, threshold1, threshold2[, apertureSize[, L2gradient]])
  • edges为计算得到的边缘图像。

  • image为8位输入图像。

  • threshold1表示处理过程中的第一个阈值。

  • threshold2表示处理过程中的第二个阈值。

  • apertureSize表示Sobel算子的孔径大小。

  • L2gradient为计算图像梯度幅度(gradient magnitude)的标识。其默认值为False。如果为True,则使用更精确的L2范数进行计算(即两个方向的导数的平方和再开方),否则使用L1范数(直接将两个方向导数的绝对值相加)。

    image-20220524105745224

**例子:**使用函数cv2.Canny()获取图像的边缘,并尝试使用不同大小的threshold1和threshold2,观察获取到的边缘有何不同。

import cv2 
o=cv2.imread("./img/hand1.png", cv2.IMREAD_GRAYSCALE) 
r1=cv2.Canny(o,128,200) 
r2=cv2.Canny(o,32,128) 
cv2.imshow("original", o) 
cv2.imshow("result1", r1) 
cv2.imshow("result2", r2) 
cv2.waitKey() 
cv2.destroyAllWindows() 

当函数cv2.Canny()的参数threshold1和threshold2的值较小时,能够捕获更多的边缘信息。