高级排序算法(归并排序)

190 阅读3分钟

归并排序解读

image.png

image.png

归并过程

就是将两个有序数组合并为一个有序数组。

每次都比较两个数组中第一个元素的大小,然后取出最小的元素。直到两个数组没有元素。

实现的时候需要注意:我们需要复制一份数组,用复制的数组比较,然后将值写入原数组。所以,归并排序过程无法原地完成。

    private static <E extends Comparable<E>> void merge(E[] arr, int l, int mid, int r) {
        // 1. 先复制一下数组。arr
        E[] copyArr = Arrays.copyOfRange(arr, l, r + 1);
        // 2. 分割两个数组。开始的下标
        int i = l, j = mid + 1;
        // 3. 循环,然后覆盖元素组的值
        for(int k = l; k <= r; k++) {
            if(i > mid) { // 判断左边数组是否越界
                arr[k] = copyArr[j - l];
                j++;
            }else if(j > r) { // 判断右边数组是否越界
                arr[k] = copyArr[i - l];
                i++;
            }else if(copyArr[i - l].compareTo(copyArr[j - l]) >= 0) { // 下面两个判断都是正常的比较。
                arr[k] = copyArr[j - l];
                j++;
            }else {
                arr[k] = copyArr[i - l];
                i++;
            }
        }
    }

算法实现

import java.util.Arrays;

/**
 * @author zhanghao
 * @create 2022-05-17 21:08
 */
public class MergeSort {
    public static <E extends Comparable<E> > void sort(E[] arr) {
        sort(arr, 0, arr.length - 1);
    }

    private static <E extends Comparable<E>> void sort(E[] arr, int l, int r) {
        if(l >= r) {
            return;
        }
        int mid = l + (r - l) / 2;
        sort(arr, l, mid);
        sort(arr, mid + 1, r);
        merge(arr, l, mid, r);
    }

    private static <E extends Comparable<E>> void merge(E[] arr, int l, int mid, int r) {
        // 1. 先复制一下数组。arr
        E[] copyArr = Arrays.copyOfRange(arr, l, r + 1);
        // 2. 分割两个数组。开始的下标
        int i = l, j = mid + 1;
        // 3. 循环,然后覆盖元素组的值
        for(int k = l; k <= r; k++) {
            if(i > mid) { // 判断左边数组是否越界
                arr[k] = copyArr[j - l];
                j++;
            }else if(j > r) { // 判断右边数组是否越界
                arr[k] = copyArr[i - l];
                i++;
            }else if(copyArr[i - l].compareTo(copyArr[j - l]) >= 0) { // 下面两个判断都是正常的比较。
                arr[k] = copyArr[j - l];
                j++;
            }else {
                arr[k] = copyArr[i - l];
                i++;
            }
        }
    }
}

递归算法的微观解读

image.png

image.png

image.png

image.png

image.png

image.png

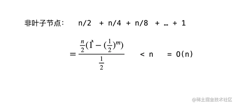
时间复杂度分析

image.png

对于有序数组进行归并

他就不需要去merge合并两个有序数组了。

    // 将前一个数组最后一个元素大于后一个数组第一个元素时,将不会触发合并操作
    public static <E extends Comparable<E> > void sort2(E[] arr) {
        sort2(arr, 0, arr.length - 1);
    }

    private static <E extends Comparable<E>> void sort2(E[] arr, int l, int r) {
        if(l >= r) {
            return;
        }
        int mid = l + (r - l) / 2;
        sort(arr, l, mid);
        sort(arr, mid + 1, r);
        if(arr[mid].compareTo(arr[mid + 1]) >= 0) {
            merge(arr, l, mid, r);
        }
    }

image.png

image.png

使用插入排序算法来优化归并排序

我们知道,当对于小规模的数据来说,因为可能会出现局部有序,所以时间复杂度是o(n)。

插入排序请访问这里

插入排序对部分内容进行排序

 public static <E extends Comparable<E>> void sort(E[] arr, int l, int r) {
        for(int i = 0; i < arr.length; i++) {
            E cur = arr[i];
            int j;
            for(j = i; j - 1 >= 0; j--) {
                if(cur.compareTo(arr[j - 1]) < 0) {
                    arr[j] = arr[ j - 1];
                }else {
                    break;
                }
            }
//            交换两个位置元素
            arr[j] = cur;
        }
    }

修改的源码

    // 使用插入排序算法优化归并排序
    public static <E extends Comparable<E> > void sort3(E[] arr) {
        sort3(arr, 0, arr.length - 1);
    }
    private static <E extends Comparable<E>> void sort3(E[] arr, int l, int r) {
    //        if(l >= r) {
    //            return;
    //        }
        if(r - l < 15) {
            InsertSort.sort(arr, l, r);
        }
        int mid = l + (r - l) / 2;
        sort(arr, l, mid);
        sort(arr, mid + 1, r);
        if(arr[mid].compareTo(arr[mid + 1]) > 0) {
            merge(arr, l, mid, r);
        }
    }

自底向上归并算法的实现

  • 先将两个元素进行合并,合并成两个元素的数组。
  • 然后在对合并的两个元素数组进行合并。 image.png

image.png

image.png

image.png

image.png

image.png