【每日一题】环形链表II

120 阅读3分钟

🌟个人博客:www.hellocode.top🌟

⭐所有文章均在上方博客首发,其他平台同步更新

🔥本文专栏:《每日一题》

⚡如有问题,欢迎指正,一起学习~~

文章部分参考《代码随想录》,如有侵权,请联系删除~~


环形链表II

  • 时间:2022-05-19
  • 题目序号:142
  • 难度:中等

问题描述

给定一个链表的头节点 head ,返回链表开始入环的第一个节点。 如果链表无环,则返回 null。

如果链表中有某个节点,可以通过连续跟踪 next 指针再次到达,则链表中存在环。 为了表示给定链表中的环,评测系统内部使用整数 pos 来表示链表尾连接到链表中的位置(索引从 0 开始)。如果 pos 是 -1,则在该链表中没有环。注意:pos 不作为参数进行传递,仅仅是为了标识链表的实际情况。

不允许修改 链表。

题目数据 保证 整个链式结构中不存在环。

注意,函数返回结果后,链表必须 保持其原始结构

来源:力扣(LeetCode)

示例1

img

输入:head = [3,2,0,-4], pos = 1
输出:返回索引为 1 的链表节点
解释:链表中有一个环,其尾部连接到第二个节点。

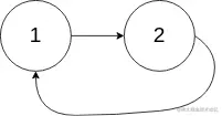
示例2

img

输入:head = [1,2], pos = 0
输出:返回索引为 0 的链表节点
解释:链表中有一个环,其尾部连接到第一个节点。

示例3

img

输入:head = [1], pos = -1
输出:返回 null
解释:链表中没有环。

提示

  • 链表中节点的数目范围在范围 [0, 104]
  • -105 <= Node.val <= 105
  • pos 的值为 -1 或者链表中的一个有效索引

解题思路

题解部分参考自LeetCode题解代码随想录。如有侵权,请联系进行删除~~

  • 本题有两种思路:哈希表快慢指针
  • 哈希表的思想比较直观简单一些,快慢指针的话就不是很好理解

哈希表

  • 在读完这个题目要求后,首先能想到的做法就是循环遍历整个链表,直到某个结点出现了第二次,也就是环的入口结点
  • 对于这个思路的实现,我们可以借助于HashSet,因为HashSet中不会存储重复值
  • 主要需要用到HashSet中的两个方法:containsadd
  • 每次循环的同时首先判断HashSet中是否包含当前结点,如果已经包含了,就说明当前结点是环的入口,返回结果,结束循环
  • 如果当前结点不在HashSet中,我们就把它加入到HashSet集合中,进行下一次循环

注意:这里判断当前结点是否在HashSet集合中需要对结点(地址)进行判断,而不是结点的val值

快慢指针

  • 快慢指针解决本题的话,主要面临两个问题:判断是否有环、查找环的入口位置

  • 这里会涉及到一些数学计算问题,不太好理解

  • 具体题解大家可以去代码随想录查看,这块我有点理解不了,后面再回过头来看吧

代码实现

public class Solution {
    public ListNode detectCycle(ListNode head) {
        ListNode cur = head;
        HashSet<ListNode> list = new HashSet<>();
        while(cur != null){
            if(list.contains(cur)) return cur;
            else {
                list.add(cur);
                cur = cur.next;
            }
        }
        return null;
    }
}

总结

  • 两种思路,哈希表这个方法比较容易理解
  • 双指针方法分为两步:判断环和找入口,不容易理解
  • 双指针法最好在纸上画一画,能更容易理解一些