【面向校招】数据库 —— Mysql索引

358 阅读21分钟

本文已参与「新人创作礼」活动,一起开启掘金创作之路。

1. 索引是什么?

索引是一种特殊的文件(InnoDB数据表上的索引是表空间的一个组成部分),它们包含着对数据表里所有记录的引用指针。

索引是一种数据结构。数据库索引,是数据库管理系统中一个排序的数据结构,以协助快速查询、更新数据库表中数据。索引的实现通常使用B树及其变种B+树。更通俗的说,索引是表的目录,在查找内容之前可以先在目录中查找索引位置,以此快速定位查询数据。对于索引,会保存在额外的文件中,它是要占据物理空间的。

MySQL索引的建立对于MySQL的高效运行是很重要的,索引可以大大提高MySQL的检索速度。比如我们在查字典的时候,前面都有检索的拼音和偏旁、笔画等,然后找到对应字典页码,这样然后就打开字典的页数就可以知道我们要搜索的某一个key的全部值的信息了。

2. 索引有哪些优缺点?

索引的优点

  • 当表中的数据量越来越大时,索引对于性能的影响愈发重要。索引能够轻易将查询性能提高好几个数量级,总的来说就是可以明显的提高查询效率
  • 可以大大加快数据的检索速度,这也是创建索引的最主要的原因。
  • 通过使用索引,可以在查询的过程中,使用优化隐藏器,提高系统的性能。
  • 通过创建唯一索引
  • 加快表与表之间的连接

索引的缺点

  • 时间方面:创建索引和维护索引要耗费时间,具体地,当对表中的数据进行增加、删除和修改的时候,索引也要动态的维护,会降低增/改/删的执行效率;
  • 空间方面:索引需要占物理空间。

3. 哪些列上适合创建索引?创建索引有哪些开销?

经常需要作为条件查询的列上适合创建索引,并且该列上也必须有一定的区分度。

创建索引需要维护,在插入数据的时候会重新维护各个索引树(数据页的分裂与合并),对性能造成影响

4. 索引这么多优点,为什么不对表中的每一个列创建一个索引呢?

  1. 当对表中的数据进行增加、删除和修改的时候,索引也要动态的维护,这样就降低了数据的维护速度。
  2. 索引需要占物理空间,除了数据表占数据空间之外,每一个索引还要占一定的物理空间,如果要建立聚簇索引,那么需要的空间就会更大。
  3. 创建索引和维护索引要耗费时间,这种时间随着数据量的增加而增加。

5. MySQL有哪几种索引类型?

1、从存储结构上来划分:BTree索引(B-Tree或B+Tree索引),Hash索引,full-index全文索引,R-Tree索引。这里所描述的是索引存储时保存的形式,

2、从应用层次来分:普通索引,唯一索引,复合索引。

  • 普通索引:即一个索引只包含单个列,一个表可以有多个单列索引
  • 唯一索引:索引列的值必须唯一,但允许有空值
  • 复合索引:多列值组成一个索引,专门用于组合搜索,其效率大于索引合并

3、根据中数据的物理顺序与键值的逻辑(索引)顺序关系: 聚集索引,非聚集索引。

  • 聚簇索引(聚集索引):并不是一种单独的索引类型,而是一种数据存储方式。具体细节取决于不同的实现,InnoDB的聚簇索引其实就是在同一个结构中保存了B-Tree索引(技术上来说是B+Tree)和数据行。
  • 非聚簇索引: 不是聚簇索引,就是非聚簇索引

6. 说一说索引的底层实现?

Hash索引

基于哈希表实现,只有精确匹配索引所有列的查询才有效,对于每一行数据,存储引擎都会对所有的索引列计算一个哈希码(hash code),并且Hash索引将所有的哈希码存储在索引中,同时在索引表中保存指向每个数据行的指针。

图片来源:www.javazhiyin.com/40232.html

img

B-Tree索引(MySQL使用B+Tree)

B-Tree能加快数据的访问速度,因为存储引擎不再需要进行全表扫描来获取数据,数据分布在各个节点之中。

img

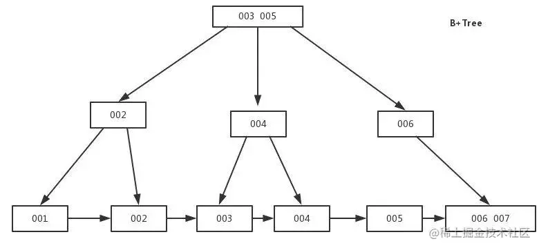
B+Tree索引

是B-Tree的改进版本,同时也是数据库索引索引所采用的存储结构。数据都在叶子节点上,并且增加了顺序访问指针,每个叶子节点都指向相邻的叶子节点的地址。相比B-Tree来说,进行范围查找时只需要查找两个节点,进行遍历即可。而B-Tree需要获取所有节点,相比之下B+Tree效率更高。

B+tree性质:

  • n棵子tree的节点包含n个关键字,不用来保存数据而是保存数据的索引。
  • 所有的叶子结点中包含了全部关键字的信息,及指向含这些关键字记录的指针,且叶子结点本身依关键字的大小自小而大顺序链接。
  • 所有的非终端结点可以看成是索引部分,结点中仅含其子树中的最大(或最小)关键字。
  • B+ 树中,数据对象的插入和删除仅在叶节点上进行。
  • B+树有2个头指针,一个是树的根节点,一个是最小关键码的叶节点。

img

7. 为什么索引结构默认使用B+Tree,而不是B-Tree,Hash,二叉树,红黑树?

B-tree:因为B树不管叶子节点还是非叶子节点,都会保存数据,这样导致在非叶子节点中能保存的指针数量变少(有些资料也称为扇出),指针少的情况下要保存大量数据,只能增加树的高度,导致IO操作变多,查询性能变低;

B+tree: 从两个方面来回答

  • B+树的磁盘读写代价更低:B+树的内部节点并没有指向关键字具体信息的指针,因此其内部节点相对B树更小,如果把所有同一内部节点的关键字存放在同一盘块中,那么盘块所能容纳的关键字数量也越多,一次性读入内存的需要查找的关键字也就越多,相对IO读写次数就降低了。
  • 由于B+树的数据都存储在叶子结点中,分支结点均为索引,方便扫库,只需要扫一遍叶子结点即可,但是B树因为其分支结点同样存储着数据,我们要找到具体的数据,需要进行一次中序遍历按序来扫,所以B+树更加适合在区间查询的情况,所以通常B+树用于数据库索引。

Hash

  • 虽然可以快速定位,但是没有顺序,IO复杂度高;
  • 基于Hash表实现,只有Memory存储引擎显式支持哈希索引 ;
  • 适合等值查询,如=、in()、<=>,不支持范围查询 ;
  • 因为不是按照索引值顺序存储的,就不能像B+Tree索引一样利用索引完成排序 ;
  • Hash索引在查询等值时非常快 ;
  • 因为Hash索引始终索引的所有列的全部内容,所以不支持部分索引列的匹配查找 ;
  • 如果有大量重复键值得情况下,哈希索引的效率会很低,因为存在哈希碰撞问题 。

二叉树: 树的高度不均匀,不能自平衡,查找效率跟数据有关(树的高度),并且IO代价高。

红黑树: 树的高度随着数据量增加而增加,IO代价高。

不使用平衡二叉树的原因如下

最大原因:深度太大(因为一个节点最多只有2个子节点),一次查询需要的I/O复杂度为O(lgN),而b+tree只需要O(log_mN),而其出度m非常大,其深度一般不会超过4 平衡二叉树逻辑上很近的父子节点,物理上可能很远,无法充分发挥磁盘顺序读和预读的高效特性。

8. MyISAM和InnoDB实现BTree索引方式的区别

1)MyISAM

B+Tree叶节点的data域存放的是数据记录的地址。在索引检索的时候,首先按照B+Tree搜索算法搜索索引,如果指定的Key存在,则取出其 data 域的值,然后以 data 域的值为地址读取相应的数据记录。这被称为“非聚簇索引”。 索引文件和数据文件是分离的

2)InnoDB

  • InnoDB 的 B+Tree 索引分为主索引(聚集索引)和辅助索引(非聚集索引)。一张表一定包含一个聚集索引构成的 B+ 树以及若干辅助索引的构成的 B+ 树。
  • 辅助索引的存在并不会影响聚集索引,因为聚集索引构成的 B+ 树是数据实际存储的形式,而辅助索引只用于加速数据的查找,所以一张表上往往有多个辅助索引以此来提升数据库的性能。
  • 就很容易明白为什么不建议使用过长的字段作为主键,因为所有辅助索引都引用主索引,过长的主索引会令辅助索引变得过大。再例如,用非单调的字段作为主键在InnoDB中不是个好主意,因为InnoDB数据文件本身是一颗B+Tree,非单调的主键会造成在插入新记录时数据文件为了维持B+Tree的特性而频繁的分裂调整,十分低效,而使用自增字段作为主键则是一个很好的选择。

9. 主键索引和非主键索引

TYPEINDEX
idintid(primary key)
kintk
namevarchar

假设有如上表结构, 那么建立起的索引结构如下图

img

从图中看出, 根据叶子节点内容的不同, 索引类型分为主键索引和非主键索引.

  • 主键索引的叶子节点存储的是整行数据. 在InnoDB里, 主键索引也被称为聚簇索引
  • 非主键索引的叶子节点存储的是主键的值. 在InnoDB里, 非主键索引也被称为二级索引 / 非聚簇索引

10. 讲一讲聚簇索引与非聚簇索引?

在 InnoDB 里,索引B+ Tree的叶子节点存储了整行数据的是主键索引,也被称之为聚簇索引,即将数据存储与索引放到了一块,找到索引也就找到了数据。

而索引B+ Tree的叶子节点存储了主键的值的是非主键索引,也被称之为非聚簇索引、二级索引。

聚簇索引与非聚簇索引的区别:

  • 非聚集索引与聚集索引的区别在于非聚集索引的叶子节点不存储表中的数据,而是存储该列对应的主键(行号)
  • 对于InnoDB来说,想要查找数据我们还需要根据主键再去聚集索引中进行查找,这个再根据聚集索引查找数据的过程,我们称为回表。第一次索引一般是顺序IO,回表的操作属于随机IO。需要回表的次数越多,即随机IO次数越多,我们就越倾向于使用全表扫描 。
  • 通常情况下, **主键索引(聚簇索引)查询只会查一次,而非主键索引(非聚簇索引)**需要回表查询多次。当然,如果是覆盖索引的话,查一次即可
  • 注意:MyISAM无论主键索引还是二级索引都是非聚簇索引,而InnoDB的主键索引是聚簇索引,二级索引是非聚簇索引。我们自己建的索引基本都是非聚簇索引。

11. 非聚簇索引一定会回表查询吗?

不一定,这涉及到查询语句所要求的字段是否全部命中了索引,如果全部命中了索引,那么就不必再进行回表查询。一个索引包含(覆盖)所有需要查询字段的值,被称之为"覆盖索引"。

举个简单的例子,假设我们在员工表的年龄上建立了索引,那么当进行select score from student where score > 90的查询时,在索引的叶子节点上,已经包含了score 信息,不会再次进行回表查询。

12. 联合索引是什么?为什么需要注意联合索引中的顺序?

MySQL可以使用多个字段同时建立一个索引,叫做联合索引。在联合索引中,如果想要命中索引,需要按照建立索引时的字段顺序挨个使用,否则无法命中索引。

具体原因为:

MySQL使用索引时需要索引有序,假设现在建立了"name,age,school"的联合索引,那么索引的排序为: 先按照name排序,如果name相同,则按照age排序,如果age的值也相等,则按照school进行排序。

当进行查询时,此时索引仅仅按照name严格有序,因此必须首先使用name字段进行等值查询,之后对于匹配到的列而言,其按照age字段严格有序,此时可以使用age字段用做索引查找,以此类推。因此在建立联合索引的时候应该注意索引列的顺序,一般情况下,将查询需求频繁或者字段选择性高的列放在前面。此外可以根据特例的查询或者表结构进行单独的调整。

13. 回表

当执行 SELECT * FROM t WHERE id = 500 时, 即主键查询方式, 则需要搜索ID这颗B+树; 当执行 SELECT * FROM t WHERE k = 5 时, 即普通索引查询方式, 则先在k这棵树查找到主键的值, 再从ID这棵树中查找到对应的行.

当我们执行SQL搜索数据时, 如果需要先从非主键索引中查询到主键的值, 再从主键索引中查询到对应的数据, 这个过程就被称为回表. 所以应该尽量使用主键查询.

14. 索引维护 (页分裂与页合并)

B+树为了有序性, 需要对插入和删除数据时做出对应的维护. 当插入数据时, 如在上图中插入ID=400的数据, 那么从逻辑上来说, 需要移动后面的数据, 空出位置.

若此时R5所在数据页满了, 则需要申请一个新的数据页, 然后移动部分数据到新数据页中, 这个过程被称为页分裂. 页分裂影响了数据页的空间利用率, 而且在分裂过程中, 性能也会有所影响.

若相邻两个数据页因为删除导致利用率很低后, 那么会将这两个数据页的数据合并到一个数据页中, 这个过程被称为页合并. 即页分裂的逆过程.

15. 覆盖索引

如果执行了语句 SELECT id FROM t WHERE k between 3 and 5 时, 只需要查询 id 的值, 而 id 已经在 k 的索引树上, 所以不需要再回表去查询整行, 直接返回查询结果, 索引 k 已经覆盖了这条SQL查询的需求, 被称为 覆盖索引. 覆盖索引能够减少树的搜索次数, 不需要再次回表查询整行, 所以是一个常用的性能优化手段.

16. 讲一讲MySQL的最左前缀原则?

最左前缀原则 就是利用索引列中最左的字段优先进行匹配

最左前缀原则就是最左优先,在创建多列索引时,要根据业务需求,where子句中使用最频繁的一列放在最左边。

mysql会一直向右匹配直到遇到范围查询(>、<、between、like)就停止匹配。

例如:b = 2 如果建立(a,b)顺序的索引,是匹配不到(a,b)索引的;但是如果查询条件是a = 1 and b = 2,就可以,因为优化器会自动调整a,b的顺序

比如a = 1 and b = 2 and c > 3 and d = 4 如果建立(a,b,c,d)顺序的索引,d是用不到索引的,因为c字段是一个范围查询,它之后的字段会停止匹配。如果建立(a,b,d,c)的索引则都可以用到,a,b,d的顺序可以任意调整。

=和in可以乱序,比如a = 1 and b = 2 and c = 3 建立(a,b,c)索引可以任意顺序,mysql的查询优化器会帮你优化成索引可以识别的形式

最左匹配原则的原理

MySQL中的索引可以以一定顺序引用多列,这种索引叫作联合索引.最左匹配原则都是针对联合索引来说的

  • 我们都知道索引的底层是一颗B+树,那么联合索引当然还是一颗B+树,只不过联合索引的健值数量不是一个,而是多个。构建一颗B+树只能根据一个值来构建,因此数据库依据联合索引最左的字段来构建B+树。 例子:假如创建一个(a,b)的联合索引,那么它的索引树是这样的可以看到a的值是有顺序的,1,1,2,2,3,3,而b的值是没有顺序的1,2,1,4,1,2。所以b = 2这种查询条件没有办法利用索引,因为联合索引首先是按a排序的,b是无序的。

同时我们还可以发现在a值相等的情况下,b值又是按顺序排列的,但是这种顺序是相对的。所以最左匹配原则遇上范围查询就会停止,剩下的字段都无法使用索引。例如a = 1 and b = 2 a,b字段都可以使用索引,因为在a值确定的情况下b是相对有序的,而a>1and b=2,a字段可以匹配上索引,但b值不可以,因为a的值是一个范围,在这个范围中b是无序的。

优点:最左前缀原则的利用也可以显著提高查询效率,是常见的MySQL性能优化手段。

17. 讲一讲前缀索引?

在对字符串创建索引, 如INDEX(name)中, 若字符串非常大, 那么响应的空间使用和维护开销也非常大, 就可以使用字符串从左开始的部分字符创建索引(把很长字段的前面的公共部分作为一个索引,就会产生超级加倍的效果, 减少空间和维护的成本, 但是也会降低索引的选择性。但是,我们需要注意,order by不支持前缀索引 。

索引的选择性指的是 : 不重复的索引值和数据表的记录总数(#T)的比值, 范围为 1/#T 到 1 之间, 索引选择性越高则查询效率越高. 对于BLOB, TEXT, VARCHAR等类型的列, 必须使用前缀索引, MySQL不允许索引这些列的完整长度.

流程是:

  1. 先计算完整列的选择性 SELECT COUNT(DISTINCT name)/COUNT(1) FROM t
  2. 在计算不同前缀长度N的选择性 SELECT COUNT(DISCTINCT LEFT(name, N)) / COUNT(1) FROM t
  3. 看哪个N更靠近1, 进行索引的创建

18. 了解索引下推吗?

对于SQL语句 SELECT * FROM t WHERE name LIKE '陈%' AND age = 10 , INDEX(name, age) 情况来说

在 MySQL5.6 之前没有引入索引下推优化时, 执行流程如下图, 在定位完name字段的索引后, 需要一条条进行回表查询, 然后再判断其他字段是否满足条件.

img

而 MySQL5.6 引入了索引下推优化后, 可以在所有遍历过程中, 对索引中包含的字段先进行判断过滤, 然后再进行后续操作, 减少了回表次数.

img

19. 怎么查看MySQL语句有没有用到索引?

通过explain,如以下例子:

EXPLAIN SELECT * FROM employees.titles WHERE emp_no='10001' AND title='Senior Engineer' AND from_date='1986-06-26';

idselect_typetablepartitionstypepossible_keyskeykey_lenreffilteredrowsExtra
1SIMPLEtitlesnullconstPRIMARYPRIMARY59const,const,const101
  • id:在⼀个⼤的查询语句中每个SELECT关键字都对应⼀个唯⼀的id ,如explain select * from s1 where id = (select id from s1 where name = 'egon1');第一个select的id是1,第二个select的id是2。有时候会出现两个select,但是id却都是1,这是因为优化器把子查询变成了连接查询 。
  • select_type:select关键字对应的那个查询的类型,如SIMPLE,PRIMARY,SUBQUERY,DEPENDENT,SNION 。
  • table:每个查询对应的表名 。
  • type:type 字段比较重要, 它提供了判断查询是否高效的重要依据依据. 通过 type 字段, 我们判断此次查询是 全表扫描 还是 索引扫描 等。如const(主键索引或者唯一二级索引进行等值匹配的情况下),ref(普通的⼆级索引列与常量进⾏等值匹配),index(扫描全表索引的覆盖索引) 。通常来说, 不同的 type 类型的性能关系如下:ALL < index < range ~ index_merge < ref < eq_ref < const < systemALL 类型因为是全表扫描, 因此在相同的查询条件下, 它是速度最慢的.而 index 类型的查询虽然不是全表扫描, 但是它扫描了所有的索引, 因此比 ALL 类型的稍快.
  • possible_key:查询中可能用到的索引*(可以把用不到的删掉,降低优化器的优化时间)* 。
  • key:此字段是 MySQL 在当前查询时所真正使用到的索引。
  • filtered:查询器预测满足下一次查询条件的百分比 。
  • rows 也是一个重要的字段. MySQL 查询优化器根据统计信息, 估算 SQL 要查找到结果集需要扫描读取的数据行数.这个值非常直观显示 SQL 的效率好坏, 原则上 rows 越少越好。
  • extra:表示额外信息,如Using where,Start temporary,End temporary,Using temporary等。

20. 为什么官方建议使用自增长主键作为索引?

结合B+Tree的特点,自增主键是连续的,在插入过程中尽量减少页分裂,即使要进行页分裂,也只会分裂很少一部分。并且能减少数据的移动,每次插入都是插入到最后。总之就是减少分裂和移动的频率。

插入连续的数据:

图片来自:www.javazhiyin.com/40232.html

img

插入非连续的数据:

img

21. 如何创建索引?

创建索引有三种方式。

1、 在执行CREATE TABLE时创建索引

CREATE TABLE user_index2 ( id INT auto_increment PRIMARY KEY, first_name VARCHAR (16), last_name VARCHAR (16), id_card VARCHAR (18), information text, KEY name (first_name, last_name), FULLTEXT KEY (information), UNIQUE KEY (id_card) );

2、 使用ALTER TABLE命令去增加索引。

ALTER TABLE table_name ADD INDEX index_name (column_list);

ALTER TABLE用来创建普通索引、UNIQUE索引或PRIMARY KEY索引。

其中table_name是要增加索引的表名,column_list指出对哪些列进行索引,多列时各列之间用逗号分隔。

索引名index_name可自己命名,缺省时,MySQL将根据第一个索引列赋一个名称。另外,ALTER TABLE允许在单个语句中更改多个表,因此可以在同时创建多个索引。3、 使用CREATE INDEX命令创建。

CREATE INDEX index_name ON table_name (column_list);

22. 创建索引时需要注意什么?

  • 非空字段:应该指定列为NOT NULL,除非你想存储NULL。在mysql中,含有空值的列很难进行查询优化,因为它们使得索引、索引的统计信息以及比较运算更加复杂。你应该用0、一个特殊的值或者一个空串代替空值;
  • 取值离散大的字段:(变量各个取值之间的差异程度)的列放到联合索引的前面,可以通过count()函数查看字段的差异值,返回值越大说明字段的唯一值越多字段的离散程度高;
  • 索引字段越小越好:数据库的数据存储以页为单位一页存储的数据越多一次IO操作获取的数据越大效率越高。

23. 建索引的原则有哪些?

1、最左前缀匹配原则,非常重要的原则,mysql会一直向右匹配直到遇到范围查询(>、<、between、like)就停止匹配,比如a = 1 and b = 2 and c > 3 and d = 4 如果建立(a,b,c,d)顺序的索引,d是用不到索引的,如果建立(a,b,d,c)的索引则都可以用到,a,b,d的顺序可以任意调整。

2、=和in可以乱序,比如a = 1 and b = 2 and c = 3 建立(a,b,c)索引可以任意顺序,mysql的查询优化器会帮你优化成索引可以识别的形式。

3、尽量选择区分度高的列作为索引,区分度的公式是count(distinct col)/count(*),表示字段不重复的比例,比例越大我们扫描的记录数越少,唯一键的区分度是1,而一些状态、性别字段可能在大数据面前区分度就是0,那可能有人会问,这个比例有什么经验值吗?使用场景不同,这个值也很难确定,一般需要join的字段我们都要求是0.1以上,即平均1条扫描10条记录。

4、索引列不能参与计算,保持列“干净”,比如from_unixtime(create_time) = ’2014-05-29’就不能使用到索引,原因很简单,b+树中存的都是数据表中的字段值,但进行检索时,需要把所有元素都应用函数才能比较,显然成本太大。所以语句应该写成create_time = unix_timestamp(’2014-05-29’)。

5、尽量的扩展索引,不要新建索引。比如表中已经有a的索引,现在要加(a,b)的索引,那么只需要修改原来的索引即可。

24. 使用索引查询一定能提高查询的性能吗?

通常通过索引查询数据比全表扫描要快。但是我们也必须注意到它的代价。

索引需要空间来存储,也需要定期维护, 每当有记录在表中增减或索引列被修改时,索引本身也会被修改。 这意味着每条记录的I* NSERT,DELETE,UPDATE将为此多付出4,5 次的磁盘I/O。 因为索引需要额外的存储空间和处理,那些不必要的索引反而会使查询反应时间变慢。使用索引查询不一定能提高查询性能,索引范围查询(INDEX RANGE SCAN)适用于两种情况:

  • 基于一个范围的检索,一般查询返回结果集小于表中记录数的30%。
  • 基于非唯一性索引的检索。

25. 什么情况下不走索引(索引失效)?

1、使用!= 或者 <> 导致索引失效

2、类型不一致导致的索引失效

3、函数导致的索引失效

如:

SELECT * FROM user WHERE DATE(create_time) = '2020-09-03';

如果使用函数在索引列,这是不走索引的。

4、运算符导致的索引失效

SELECT * FROM user WHERE age - 1 = 20;

如果你对列进行了(+,-,*,/,!), 那么都将不会走索引。

5、OR引起的索引失效

SELECT * FROM user WHERE name = '张三' OR height = '175';

OR导致索引是在特定情况下的,并不是所有的OR都是使索引失效,如果OR连接的是同一个字段,那么索引不会失效,反之索引失效。

6、模糊搜索导致的索引失效

SELECT * FROM user WHERE name LIKE '%冰';

当%放在匹配字段前是不走索引的,放在==后面==才会走索引。

7、NOT IN、NOT EXISTS导致索引失效

26. 自适应哈希索引

InnoDB中不存在哈希索引, 但是哈希索引确实有利于快速查找, 于是InnoDB引入了"自适应哈希索引", 在某些索引值被使用的非常频繁时, InnoDB会在内存中的B+树结构之上创建一个哈希索引, 用于这些频繁使用的索引值的快速查找, 使得其存有哈希快速查找的特点.

27 .索引相关高频面试题

  1. 索引是什么? 索引优缺点?
    • 索引类似于目录, 进行数据的快速定位

    • 优点: 加快数据检索速度

    • 缺点: 创建索引和维护索引需要消耗空间和时间

  1. MySQL索引类型
    • 按存储结构划分 : B+Tree索引, Hash索引, FULLINDEX全文索引, R-TREE索引

    • 按应用层次划分: 普通索引, 唯一索引, 联合索引, 聚簇索引, 非聚簇索引

  1. 索引底层实现? 为什么使用B+树, 而不是B树, BST, AVL, 红黑树等等?
  2. 什么是聚簇索引和非聚簇索引?
  3. 非聚簇索引一定会回表吗? (不一定, 覆盖索引不会回表)
  4. 什么是联合索引?为什么需要注意联合索引中的字段顺序?
  5. 什么是最左前缀原则?
  6. 什么是前缀索引?
  7. 什么是索引下推?
  8. 如何查看MySQL语句是否使用到索引? EXPLAIN SQL语句 possible_key: 可能用到的索引(可以查看是否有冗余索引) key: 真正使用到的索引
  9. 为什么建议使用自增主键作为索引? (索引维护可能造成页分裂, 自增主键减少数据的移动和分裂)
  10. 建立索引的原则
    • 建立索引的字段最好为NOT NULL

    • 索引字段占用空间越小越好

    • 最左匹配原则

    • =和in建立索引时顺序可以任意, 比如a = 1 and b = 2 and c = 3 建立(a, b, c)和(b, a, c)索引效果是一样的, MySQL查询优化器会进行优化

    • 建立的索引让索引的选择性尽可能接近1, 唯一索引的索引选择性为1

    • 尽量扩展索引, 不要让索引冗余, 如有SQL需要对单个a进行索引, 那么上述条件建立的索引应该为(a, b, c)或(a, c, b)

    • 索引列不能参与计算

  1. 什么情况下索引失效?
    • 使用 != 或 <>
    • 类型不一致导致索引失效
    • 函数导致的索引失效, 函数用在索引列时, 不走索引 如 SELECT * FROM t WHERE DATE(create_time) = 'yyyy-MM-dd'
    • 运算符导致的索引失效 如 SELECT * FROM t WHERE k - 1 = 2, 若有INDEX(k), 则不走索引
    • OR引起的索引失效 如 SELECT * FROM t WHERE k = 1 OR j = 2, 若有INDEX(k), 则不走索引, 如果OR连接的时同一个字段, 则不会失效
    • 模糊查询导致的索引失效 如 SELECT * FROM t WHERE name = '%三', %放字符串字段前匹配不走索引
    • NOT IN, NOT EXISTS导致索引失效

【面向校招】全力备战2023Golang实习与校招

欢迎群共同进步: QQ群:1007576722