【每日一题】链表相交

129 阅读3分钟

🌟个人博客:www.hellocode.top🌟

⭐所有文章均在上方博客首发,其他平台同步更新

🔥本文专栏:《每日一题》

⚡如有问题,欢迎指正,一起学习~~

文章部分参考《代码随想录》,如有侵权,请联系删除~~


链表相交

  • 时间:2022-05-18
  • 题目序号:面试题 02.07
  • 难度:简单

问题描述

给你两个单链表的头节点 headA 和 headB ,请你找出并返回两个单链表相交的起始节点。如果两个链表没有交点,返回 null 。

图示两个链表在节点 c1 开始相交:

img

题目数据 保证 整个链式结构中不存在环。

注意,函数返回结果后,链表必须 保持其原始结构

来源:力扣(LeetCode)

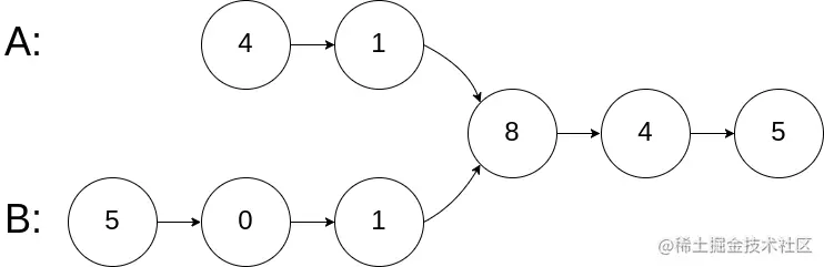
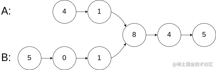
示例1

img

输入:intersectVal = 8, listA = [4,1,8,4,5], listB = [5,0,1,8,4,5], skipA = 2, skipB = 3
输出:Intersected at '8'
解释:相交节点的值为 8 (注意,如果两个链表相交则不能为 0)。
从各自的表头开始算起,链表 A 为 [4,1,8,4,5],链表 B 为 [5,0,1,8,4,5]。
在 A 中,相交节点前有 2 个节点;在 B 中,相交节点前有 3 个节点。

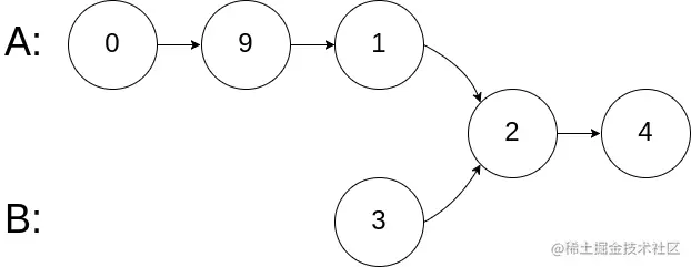
示例2

img

输入:intersectVal = 2, listA = [0,9,1,2,4], listB = [3,2,4], skipA = 3, skipB = 1
输出:Intersected at '2'
解释:相交节点的值为 2 (注意,如果两个链表相交则不能为 0)。
从各自的表头开始算起,链表 A 为 [0,9,1,2,4],链表 B 为 [3,2,4]。
在 A 中,相交节点前有 3 个节点;在 B 中,相交节点前有 1 个节点。

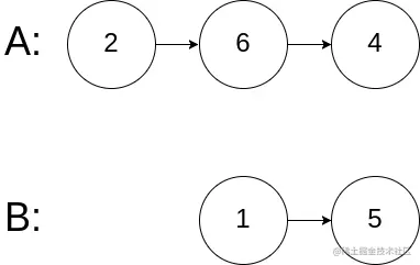
示例3

img

输入:intersectVal = 0, listA = [2,6,4], listB = [1,5], skipA = 3, skipB = 2
输出:null
解释:从各自的表头开始算起,链表 A 为 [2,6,4],链表 B 为 [1,5]。
由于这两个链表不相交,所以 intersectVal 必须为 0,而 skipA 和 skipB 可以是任意值。
这两个链表不相交,因此返回 null

提示

  • listA 中节点数目为 m
  • listB 中节点数目为 n
  • 0 <= m, n <= 3 * 104
  • 1 <= Node.val <= 105
  • 0 <= skipA <= m
  • 0 <= skipB <= n
  • 如果 listA 和 listB 没有交点,intersectVal 为 0
  • 如果 listA 和 listB 有交点,intersectVal == listA[skipA + 1] == listB[skipB + 1]

解题思路

题解部分参考自代码随想录。如有侵权,请联系进行删除~~

  • 注意,本题相交指的是指针相等,而不是数值相等

img

  • 如图,A链表和B链表的最后三个结点都是相同的(8、4、5之开辟了一处内存,给A、B链表共同使用)
  • 也就是A中1的next和B中1的next指向同一个地址

在明白了题目的要求之后,我们能想到的就是双指针法

  1. A、B两集合不一定是长度相等的
  2. 因为是相交,最早相交的情况就是从长度小的链表首结点开始(长度小的链表是长度大的链表的子集)(极端情况)
  3. 所以我们首先需要判断出两个链表的长度

面试题02.07.链表相交_1

  1. 定义两个指针,将指针A指向长链表,指针B指向短链表
  2. 计算出两个链表长度的差值gap
  3. 让A指针指向索引为gap的结点

面试题02.07.链表相交_2

  1. 接下来的操作就比较好理解了,判断A、B指针指向的结点是否相等
  2. 返回结果即可

代码实现

public class Solution {
    public ListNode getIntersectionNode(ListNode headA, ListNode headB) {
        ListNode curA = headA, curB = headB;
        int lenA = 0, lenB = 0;
        while(curA != null){        // 计算A长度
            lenA++;
            curA = curA.next;
        }
        while(curB != null){        // 计算B长度
            lenB++;
            curB = curB.next;
        }
        int gap = Math.abs(lenA - lenB);    // 计算长度差值
        curA = lenA >= lenB ? headA : headB;    // 让curA指向长链表
        curB = lenA >= lenB ? headB : headA;    // 让curB指向短链表
        while(gap-- > 0){       // 将A链表指针和B链表右对齐
            curA = curA.next;
        }
        while(curA != null){
            // 注意:这里比较的是指针而不是val
            if(curA == curB) return curA;
            curA = curA.next;
            curB = curB.next;
        }
        return null;
    }
}

总结

  • 本题不难,主要是理解题意
  • 这里说的相交,指的是指针的相等,而不是结点数值的相等
  • 其他地方需要注意的就是在移动A指针和B指针对齐时,注意循环条件