力扣算法JS LC [142. 环形链表 II]LC [面试题 02.05. 链表求和]

92 阅读2分钟

LC 142. 环形链表 II

给定一个链表的头节点 head ,返回链表开始入环的第一个节点。 如果链表无环,则返回 null。

如果链表中有某个节点,可以通过连续跟踪 next 指针再次到达,则链表中存在环。 为了表示给定链表中的环,评测系统内部使用整数 pos 来表示链表尾连接到链表中的位置(索引从 0 开始)。如果 pos 是 -1,则在该链表中没有环。注意:pos 不作为参数进行传递,仅仅是为了标识链表的实际情况。

不允许修改 链表。

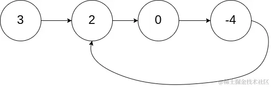
示例 1:

img

输入:head = [3,2,0,-4], pos = 1
输出:返回索引为 1 的链表节点
解释:链表中有一个环,其尾部连接到第二个节点。

示例 3:

img

输入:head = [1], pos = -1
输出:返回 null
解释:链表中没有环。

解题思路:创建哈希表,将链表每个值存入哈希表,存入前先判断是否有这个值,有的话返回,没有的话存入。直到整个链表全部存入。

代码:

var detectCycle = function(head) {
    const map = new Set(); //创建哈希表
    while(head !== null) { //遍历链表
        if(map.has(head)) { //判断是否存在这个节点
            return head;
        }
        map.add(head); //没有的话就增加这个节点
        head = head.next;
    }
    return null;
};

LC 面试题 02.05. 链表求和

给定两个用链表表示的整数,每个节点包含一个数位。

这些数位是反向存放的,也就是个位排在链表首部。

编写函数对这两个整数求和,并用链表形式返回结果。

示例:

输入:(7 -> 1 -> 6) + (5 -> 9 -> 2),即617 + 295
输出:2 -> 1 -> 9,即912

示例:

输入:(6 -> 1 -> 7) + (2 -> 9 -> 5),即617 + 295
输出:9 -> 1 -> 2,即912

解题思路:依次遍历两个链表,进行相加,创建一个值,判断是否需要进位。

代码:

var addTwoNumbers = function(l1, l2) {
    let head = null, tail = null;
    let carry = 0; //存放是否进位的值。有进位就存1
    while (l1 || l2) {
        const n1 = l1 ? l1.val : 0; //判断l1,l2是否为空
        const n2 = l2 ? l2.val : 0;
        const sum = n1 + n2 + carry; //计算和
        if (!head) {  //不存在head的话
            head = tail = new ListNode(sum % 10); //head 等于和余上10
        } else { //存在的话
            tail.next = new ListNode(sum % 10); //下一个节点等于和余上10
            tail = tail.next;
        }
        carry = Math.floor(sum / 10); //计算是否需要进位
        if (l1) { 
            l1 = l1.next;
        }
        if (l2) {
            l2 = l2.next;
        }
    }
    if (carry > 0) { //如果最后存放进位的值大于 0 的话,需要创建一个新的节点存放
        tail.next = new ListNode(carry);
    }
    return head;
};

\