<数据结构>来,一起刷题吧——二叉树篇

125 阅读5分钟

本文已参与「新人创作礼」活动,一起开启掘金创作之路。

1. 单值二叉树

如果二叉树每个节点都具有相同的值,那么该二叉树就是单值二叉树。

只有给定的树是单值二叉树时,才返回 true;否则返回 false。

示例 1:

img

输入:[1,1,1,1,1,null,1] 输出:true

示例 2:

img

输入:[2,2,2,5,2] 输出:false

提示:

给定树的节点数范围是 [1, 100]。 每个节点的值都是整数,范围为 [0, 99] 。

链接

力扣965. 单值二叉树

思路

有两种思路: :one:遍历一遍,所有的值都跟根的值相同就为真,否则为假

:two:所有的子树和根的值都相同返回真,否则为假

参考代码

运用方法二的思路

bool isUnivalTree(struct TreeNode* root){
    if(root == NULL)
        return true;
    
    if(root->left && root->val != root->left->val)
        return false;

    if(root->right && root->val != root->right->val)
    return false;

    return isUnivalTree(root->left) && isUnivalTree(root->right);
}

2. 相同的树

给你两棵二叉树的根节点 p 和 q ,编写一个函数来检验这两棵树是否相同。

如果两个树在结构上相同,并且节点具有相同的值,则认为它们是相同的。

示例 1:

img

输入:p = [1,2,3], q = [1,2,3] 输出:true

示例 2:

img

输入:p = [1,2], q = [1,null,2] 输出:false

示例 3:

img

输入:p = [1,2,1], q = [1,1,2] 输出:false

提示:

两棵树上的节点数目都在范围 [0, 100] 内 -104 <= Node.val <= 104

链接

力扣100. 相同的树

思路

相同则继续运行,一旦不同就返回false。

:one:都为空,返回true

:two:只有一个为空(结构不同),返回false

:three:都不为空,数值不同,返回false。数值相同,继续执行

再递归判断左子树,右子树是否都相同

参考代码

bool isSameTree(struct TreeNode* p, struct TreeNode* q){
    //都为空
    if(p ==NULL && q == NULL)
        return true;

    //结构不同
    if(p ==NULL || q == NULL)
        return false;

    //数值不同
    if(p->val != q->val)
        return false;

    //递归
    return isSameTree(p->left, q->left) && isSameTree(p->right, q->right);
}

3. 对称二叉树

给你一个二叉树的根节点 root , 检查它是否轴对称。

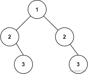
示例 1:

img

输入:root = [1,2,2,3,4,4,3] 输出:true

示例 2:

img

输入:root = [1,2,2,null,3,null,3] 输出:false

提示:

树中节点数目在范围 [1, 1000] 内 -100 <= Node.val <= 100

进阶:你可以运用递归和迭代两种方法解决这个问题吗?

链接

力扣101. 对称二叉树

思路

把根节点去掉,拆成两个小二叉树

就变得跟上一题很像,但要注意是对称相同

参考代码

bool _isSymmetric(struct TreeNode* p, struct TreeNode* q)
{
    //都为空
    if(p == NULL && q ==NULL)
        return true;

    //有一个不为空,结构不同
    if(p == NULL || q == NULL)
        return false;

    //都不为空,数值不同
    if(p->val != q->val)
        return false;

    //镜相
    return _isSymmetric(p->left, q->right) 
        && _isSymmetric(p->right, q->left);
}

bool isSymmetric(struct TreeNode* root){
    //防止根为空
    if(root == NULL)
        return true;

    return _isSymmetric(root->left, root->right);
    
}

4. 另一棵树的子树

给你两棵二叉树 root 和 subRoot 。检验 root 中是否包含和 subRoot 具有相同结构和节点值的子树。如果存在,返回 true ;否则,返回 false 。

二叉树 tree 的一棵子树包括 tree 的某个节点和这个节点的所有后代节点。tree 也可以看做它自身的一棵子树。

示例 1:

img

输入:root = [3,4,5,1,2], subRoot = [4,1,2] 输出:true

示例 2:

img

输入:root = [3,4,5,1,2,null,null,null,null,0], subRoot = [4,1,2] 输出:false

提示:

root 树上的节点数量范围是 [1, 2000] subRoot 树上的节点数量范围是 [1, 1000] -104 <= root.val <= 104 -104 <= subRoot.val <= 104

链接

力扣572. 另一棵树的子树

思路

这跟第二题又是个姐妹题,就把二叉树遍历一下,判断不同的根节点下有没有相同的树。

嘻嘻,直接把之前写的函数搞过来用。:smirk:

参考代码

bool isSameTree(struct TreeNode* p, struct TreeNode* q){
    //都为空
    if(p ==NULL && q == NULL)
        return true;

    //结构不同
    if(p ==NULL || q == NULL)
        return false;

    //数值不同
    if(p->val != q->val)
        return false;

    //递归
    return isSameTree(p->left, q->left) && isSameTree(p->right, q->right);
}

bool isSubtree(struct TreeNode* root, struct TreeNode* subRoot){
    if(root == NULL)
        return false;

    return isSameTree(root, subRoot) 
        || isSubtree(root->left, subRoot) 
        || isSubtree(root->right,subRoot);//遍历这棵树
}

5. 二叉树的前序遍历

给你二叉树的根节点 root ,返回它节点值的 前序 遍历。

示例 1:

img

输入:root = [1,null,2,3] 输出:[1,2,3]

示例 2:

输入:root = [] 输出:[]

示例 3:

输入:root = [1] 输出:[1]

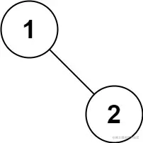
示例 4:

img

输入:root = [1,2] 输出:[1,2]

示例 5:

img

输入:root = [1,null,2] 输出:[1,2]

提示:

树中节点数目在范围 [0, 100] 内 -100 <= Node.val <= 100

进阶:递归算法很简单,你可以通过迭代算法完成吗?

链接

力扣144. 二叉树的前序遍历

思路

前序遍历的思路上个文章讲到过

这题要注意一些之前没遇到的问题:

数组要malloc出来用,malloc的空间大小要自己算出来,防止不够用

并且把空间大小赋值给*returnSize

==前序遍历时数组的下标要传指针,防止递归调用时下标被覆盖==

举个:chestnut::

image-20220418205804828

参考代码

int TreeSize(struct TreeNode* root)
{
    return root == NULL ? 0 : TreeSize(root->right)+TreeSize(root->left)+1;
}

void _preorder(struct TreeNode* root, int* a, int* pi)
{
    if(root == NULL)
        return;
    
    a[(*pi)++] = root->val;
    _preorder(root->left, a, pi);
    _preorder(root->right, a, pi);
}

int* preorderTraversal(struct TreeNode* root, int* returnSize){
    int size = TreeSize(root);
    int* a = malloc(sizeof(int)*size);
    *returnSize = size;

    int i = 0;
    _preorder(root, a, &i);

    return a;
}

由于分治思想一旦理解就能较为轻松的解题,而随后的关键就是思路问题。所以本文重点写的就是思路和注意事项。