LeetCode 2045. 到达目的地的第二短时间(记录第二短时间的bfs) / 1688. 比赛中的配对次数 / 2013. 检测正方形

305 阅读5分钟

本文已参与「新人创作礼」活动,一起开启掘金创作之路。

2045. 到达目的地的第二短时间

2022.1.24 每日一题

题目描述

城市用一个 双向连通 图表示,图中有 n 个节点,从 1 到 n 编号(包含 1 和 n)。图中的边用一个二维整数数组 edges 表示,其中每个 edges[i] = [ui, vi] 表示一条节点 ui 和节点 vi 之间的双向连通边。每组节点对由 最多一条 边连通,顶点不存在连接到自身的边。穿过任意一条边的时间是 time 分钟。

每个节点都有一个交通信号灯,每 change 分钟改变一次,从绿色变成红色,再由红色变成绿色,循环往复。所有信号灯都 同时 改变。你可以在 任何时候 进入某个节点,但是 只能 在节点 信号灯是绿色时 才能离开。如果信号灯是 绿色 ,你 不能 在节点等待,必须离开。

第二小的值 是 严格大于 最小值的所有值中最小的值。

例如,[2, 3, 4] 中第二小的值是 3 ,而 [2, 2, 4] 中第二小的值是 4 。

给你 n、edges、time 和 change ,返回从节点 1 到节点 n 需要的 第二短时间 。

注意:

你可以 任意次 穿过任意顶点,包括 1 和 n 。 你可以假设在 启程时 ,所有信号灯刚刚变成 绿色 。

示例 1:

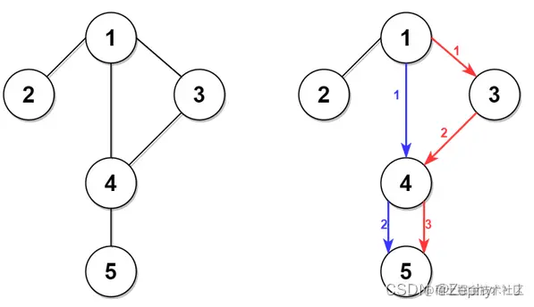
在这里插入图片描述 输入:n = 5, edges = [[1,2],[1,3],[1,4],[3,4],[4,5]], time = 3, change = 5 输出:13 解释: 上面的左图展现了给出的城市交通图。 右图中的蓝色路径是最短时间路径。 花费的时间是: -从节点 1 开始,总花费时间=0 -1 -> 4:3 分钟,总花费时间=3 -4 -> 5:3 分钟,总花费时间=6 因此需要的最小时间是 6 分钟。   右图中的红色路径是第二短时间路径。 -从节点 1 开始,总花费时间=0 -1 -> 3:3 分钟,总花费时间=3 -3 -> 4:3 分钟,总花费时间=6 -在节点 4 等待 4 分钟,总花费时间=10 -4 -> 5:3 分钟,总花费时间=13 因此第二短时间是 13 分钟。

示例 2:

在这里插入图片描述 输入:n = 2, edges = [[1,2]], time = 3, change = 2 输出:11 解释: 最短时间路径是 1 -> 2 ,总花费时间 = 3 分钟 最短时间路径是 1 -> 2 -> 1 -> 2 ,总花费时间 = 11 分钟

提示:

2 <= n <= 10^4 n - 1 <= edges.length <= min(2 * 10^4, n * (n - 1) / 2) edges[i].length == 2 1 <= ui, vi <= n ui != vi 不含重复边 每个节点都可以从其他节点直接或者间接到达 1 <= time, change <= 10^3

来源:力扣(LeetCode) 链接:leetcode-cn.com/problems/se… 著作权归领扣网络所有。商业转载请联系官方授权,非商业转载请注明出处。

思路

我想的办法纯粹是基于最短路的想法走的,也就是bfs过程中,点不会重复到达,所以一直不知道怎么计算出第二段的路径 然后看了答案,从这个想法中跳出来,当每个点可以多次到达的情况下,就可以实现第二短路径的求解 但是在这个过程中,还需要注意的就是如果无限次的移动,那么可能时间很长,所以,每个点只记录第一次和第二次到达的时间,而不去管再长的时间,因为第三次到达任意点的时间不可能是结果路径中的,这个比较关键

最后就是知道走几步以后加上红绿灯的时间计算,这个相对简单,就是简单的数学计算

class Solution {
    public int secondMinimum(int n, int[][] edges, int time, int change) {
        //这个题看上去就有点难,一般都是找最短时间,这个是第二短,还有红绿灯...
        //最短,仔细想了一下,两种可能,第一种可能就是和示例1一样,就是第二短的时间
        //还有一种可能就是到了终点再返回上一个点,然后再到终点

        //所以还是用bfs进行扩散,因为每两个点之间的时间都是固定的,所以应该可以写
        //关键问题是怎么找第二短的路径
        //其实可以想到一个方法,就是先找最短的路径,然后将最短路径在所有路径中删除
        //然后找到的就是第二短的路径,但是这个删除操作确实不知道怎么做

        //然后又想到一个方法,刚刚说到第二短就是两种时间的比较,而要比达到终点打个来回时间还短的话(这样是多走了两个点)
        //那必须是多走一个点,也就是示例1的情况
        //这就提醒我们可以检查是否多走一个点也可以到达终点,如果可以,返回这个时间;不可以,直接返回另一种情况的时间
        //那么怎么检查是否可以多走一个点呢

        //想了半天,不知道怎么走,想到的办法就是记录每个点到达终点的最小步数,用dfs来实现
        //要用bfs就不能把走过的点丢弃

        //先用map存储路径,存储每个点能到达的其他所有点
        Map<Integer, List<Integer>> map = new HashMap<>();
        for(int[] edge : edges){
            int pos1 = edge[0];
            int pos2 = edge[1];
            List<Integer> list1 = map.getOrDefault(pos1, new ArrayList<>());
            List<Integer> list2 = map.getOrDefault(pos2, new ArrayList<>());
            list1.add(pos2);
            list2.add(pos1);
            map.put(pos1, list1);
            map.put(pos2, list2);
        }

        Queue<Integer> queue = new LinkedList<>();
        queue.offer(1);
        //到达当前点的最短时间和第二短时间
        int[][] len = new int[n + 1][2];
        for(int i = 1; i <= n; i++){
            len[i][0] = Integer.MAX_VALUE;
            len[i][1] = Integer.MAX_VALUE;
        }
        len[1][0] = 0;
        int idx = 0;        //第几次扩散
        //如果最终结果没有被更新,则一直循环
        while(len[n][1] == Integer.MAX_VALUE){
            idx++;
            int size = queue.size();
            while(size-- > 0){
                int top = queue.poll();
                List<Integer> list = map.get(top);
                //从top开始扩散
                for(int p : list){
                    //如果比最小的小,那么更新,因为是bfs,所以第一次遍历到的肯定是最小的
                    if(len[p][0] > idx){
                        len[p][0] = idx;
                        queue.offer(p);
                    //如果比第二小的小,那么更新
                    }else if(len[p][0] < idx && len[p][1] > idx){
                        len[p][1] = idx;
                        queue.offer(p);
                    }
                    //如果第三次经过这个点,到达终点的时间不可能比第二次小,所以不做记录
                }
            }
        }
        //计算时间
        int count = len[n][1];
        int res = 0;
        for(int i = 0; i < count; i++){
            //第几次变色
            int temp = res / change;
            //如果当前次数是奇数,那么就是红灯
            if(temp % 2 == 1){
                //红灯需要等待的时间是(change - (res - temp * change))
                res += time + (change - (res - temp * change));
            }else{
                res += time;
            }
        }
        return res;
    }
}

1688. 比赛中的配对次数

2022.1.25 每日一题

题目描述

给你一个整数 n ,表示比赛中的队伍数。比赛遵循一种独特的赛制:

如果当前队伍数是 偶数 ,那么每支队伍都会与另一支队伍配对。总共进行 n / 2 场比赛,且产生 n / 2 支队伍进入下一轮。 如果当前队伍数为 奇数 ,那么将会随机轮空并晋级一支队伍,其余的队伍配对。总共进行 (n - 1) / 2 场比赛,且产生 (n - 1) / 2 + 1 支队伍进入下一轮。

返回在比赛中进行的配对次数,直到决出获胜队伍为止。

示例 1:

输入:n = 7 输出:6 解释:比赛详情: -第 1 轮:队伍数 = 7 ,配对次数 = 3 ,4 支队伍晋级。 -第 2 轮:队伍数 = 4 ,配对次数 = 2 ,2 支队伍晋级。 -第 3 轮:队伍数 = 2 ,配对次数 = 1 ,决出 1 支获胜队伍。 总配对次数 = 3 + 2 + 1 = 6

示例 2:

输入:n = 14 输出:13 解释:比赛详情: -第 1 轮:队伍数 = 14 ,配对次数 = 7 ,7 支队伍晋级。 -第 2 轮:队伍数 = 7 ,配对次数 = 3 ,4 支队伍晋级。 -第 3 轮:队伍数 = 4 ,配对次数 = 2 ,2 支队伍晋级。 -第 4 轮:队伍数 = 2 ,配对次数 = 1 ,决出 1 支获胜队伍。 总配对次数 = 7 + 3 + 2 + 1 = 13

提示:

1 <= n <= 200

来源:力扣(LeetCode) 链接:leetcode-cn.com/problems/co… 著作权归领扣网络所有。商业转载请联系官方授权,非商业转载请注明出处。

思路

class Solution {
    public int numberOfMatches(int n) {
        //每次比赛淘汰一个队,剩余一个队就要淘汰n-1个队,比赛就要进行n - 1次
        return n - 1;
    }
}

2013. 检测正方形

2022.1.26 每日一题

题目描述

给你一个在 X-Y 平面上的点构成的数据流。设计一个满足下述要求的算法:

添加 一个在数据流中的新点到某个数据结构中。可以添加 重复 的点,并会视作不同的点进行处理。 给你一个查询点,请你从数据结构中选出三个点,使这三个点和查询点一同构成一个 面积为正 的 轴对齐正方形 ,统计 满足该要求的方案数目。

轴对齐正方形 是一个正方形,除四条边长度相同外,还满足每条边都与 x-轴 或 y-轴 平行或垂直。

实现 DetectSquares 类:

DetectSquares() 使用空数据结构初始化对象 void add(int[] point) 向数据结构添加一个新的点 point = [x, y] int count(int[] point) 统计按上述方式与点 point = [x, y] 共同构造 轴对齐正方形 的方案数。

示例:

在这里插入图片描述输入: ["DetectSquares", "add", "add", "add", "count", "count", "add", "count"] [[], [[3, 10]], [[11, 2]], [[3, 2]], [[11, 10]], [[14, 8]], [[11, 2]], [[11, 10]]] 输出: [null, null, null, null, 1, 0, null, 2] 解释: DetectSquares detectSquares = new DetectSquares(); detectSquares.add([3, 10]); detectSquares.add([11, 2]); detectSquares.add([3, 2]); detectSquares.count([11, 10]); // 返回 1 。你可以选择: // - 第一个,第二个,和第三个点 detectSquares.count([14, 8]); // 返回 0 。查询点无法与数据结构中的这些点构成正方形。 detectSquares.add([11, 2]); // 允许添加重复的点。 detectSquares.count([11, 10]); // 返回 2 。你可以选择: // - 第一个,第二个,和第三个点 // - 第一个,第三个,和第四个点

提示:

point.length == 2 0 <= x, y <= 1000 调用 add 和 count 的 总次数 最多为 5000

来源:力扣(LeetCode) 链接:leetcode-cn.com/problems/de… 著作权归领扣网络所有。商业转载请联系官方授权,非商业转载请注明出处。

思路

当时周赛的时候不知道咋回事,套了两层,导致超时了 今天写的时候很简单就写出来了,虽然有些地方罗嗦了点 不难,就是根据两个确定的点,确定其他两个正方形点的位置,并且看这两个位置是否存在 注意有重复的点

class DetectSquares {
    //基本上是最后一次打周赛的题了,记得当时超时了
    //给定一个点,找一个正方形,相当于找边,所以做法就是找一个和该点相同行或者列的点,
    //然后计算边长,从而确定其他两个点的位置
    //我不用看也知道当时是这样做的,然后发现过了的都是按照边长来找点,这样做的
    //前提都是要将这些点放在 行 列 两个集合中

    //里面的map表示点的个数
    Map<Integer, Map<Integer, Integer>> row;
    Map<Integer, Map<Integer, Integer>> col;
    public DetectSquares() {
        row = new HashMap<>();
        col = new HashMap<>();
    }
    
    public void add(int[] point) {
        int r = point[0];
        int c = point[1];
        Map<Integer, Integer> rin = row.getOrDefault(r, new HashMap<>());
        Map<Integer, Integer> cin = col.getOrDefault(c, new HashMap<>());
        //将数组转换成一个整数
        int temp = r * 1001 + c;
        rin.put(temp, rin.getOrDefault(temp, 0) + 1);
        cin.put(temp, cin.getOrDefault(temp, 0) + 1);
        row.put(r, rin);
        col.put(c, cin);
    }
    
    public int count(int[] point) {
        int r = point[0];
        int c = point[1];
        //遍历所有边长
        //如果没有这一行的点,那么直接返回0
        if(!row.containsKey(r) || !col.containsKey(c))
            return 0;
        
        //当前点,当前点的数目不用管
        int temp = r * 1001 + c;

        Map<Integer, Integer> rin = row.get(r);
        Map<Integer, Integer> cin = col.get(c);
        int res = 0;
        for(int p : rin.keySet()){
            //如果是重合了,跳过
            if(p == temp)
                continue;
            //这个点的数目
            int count1 = rin.get(p);
            int rr = p / 1001;
            int cc = p % 1001;
            //边长
            int len = Math.abs(cc - c);
            //此时确定了一条边,还需要确定一条横边,这条横边可以在上面或者下面
            int rup = rr + len;
            int rdown = rr - len;
            
            if(row.containsKey(rup)){
                Map<Integer, Integer> rrup = row.get(rup);
                int p2 = rup * 1001 + c;
                int p3 = rup * 1001 + cc;
                if(rrup.containsKey(p2) && rrup.containsKey(p3)){
                    res += rrup.get(p2) * rrup.get(p3) * count1;
                }
            }

            if(row.containsKey(rdown)){
                Map<Integer, Integer> rrdown = row.get(rdown);
                int p2 = rdown * 1001 + c;
                int p3 = rdown * 1001 + cc;
                if(rrdown.containsKey(p2) && rrdown.containsKey(p3)){
                    res += rrdown.get(p2) * rrdown.get(p3) * count1;
                }
            }
        }
        return res;
    }
}

/**
 * Your DetectSquares object will be instantiated and called as such:
 * DetectSquares obj = new DetectSquares();
 * obj.add(point);
 * int param_2 = obj.count(point);
 */