第一篇:MySQL索引数据结构演进之你心里有B树(数)吗

610 阅读8分钟

本文已参与「新人创作礼」活动,一起开启掘金创作之路。

什么是索引

在关系数据库中,索引是一种对数据库表中一列或多列的值进行排序的一种存储结构(数据结构),索引解决的问题是查询速度慢。容易产生理解偏差的点解释一下:

  • 索引是针对表来说的,不是针对数据库来说的(建表的sql语句中的index就是索引)。
  • InnoDB存储引擎不是MySQL自己的,而是Innobase Oy公司开发的,该公司后被甲骨文公司并购

索引的数据结构演进

链表结构

假设用户表中有字段id,name,password。我们需要对这个表进行查询。

我们知道数据都是存储在容器中的,假设现在上表中的数据存放在一个链表中,执行以下SQL可以发现影响查询速度的是这条数据在第几行。

select * from user where password = 33 ;    //查找1次
select * from user where password = 36 ;    //查找2次
select * from user where password = 1 ;     //查找3次
select * from user where password = 26 ;    //查找4次
select * from user where password = 9 ;     //查找5次
select * from user where password = 47 ;    //查找6次
select * from user where password = 5 ;     //查找7次
select * from user where password = 99 ;    //查找8次
select * from user where password = 52 ;    //查找9次

假设表中有1000万条数据,现在要查询第1000万条数据,这样就需要查找1000万次。顺序查找的问题是存储数据的结构是线性的,也就是说想要查询第2条数据,我需要知道第1条数据是什么。大家可能会考虑到为什么不要数组,直接通过下标就可以查到数据,问题是数组是固定长度的,那么数组长度定义为多少合适呢?

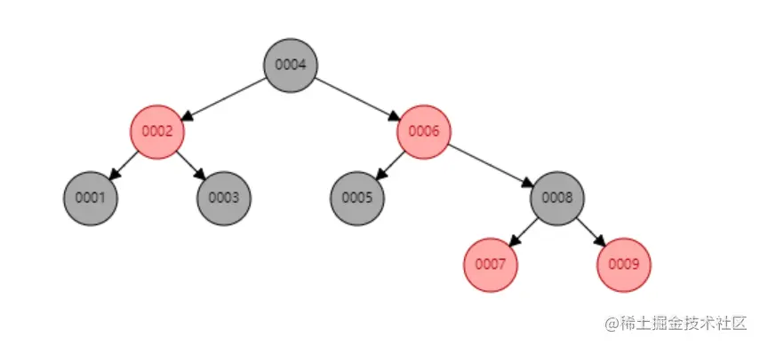
二叉树

要解决链表问题,我们可以使用树来解决,先来看下二叉树,二叉树与链表的区别是链表就一条搜索路径,二叉树有两条搜索路径。上表中对应的二叉树如下。

与链表一样,我们看看查询需要的次数,可以看出:二叉搜索树通过增加了一条搜索路径,提高了查询效率,查找的效率取决于树的深度(高度)

select * from user where password = 33 ;    //查找1次
select * from user where password = 36 ;    //查找2次
select * from user where password = 1 ;     //查找2次
select * from user where password = 26 ;    //查找3次
select * from user where password = 9 ;     //查找4次
select * from user where password = 47 ;    //查找3次
select * from user where password = 5 ;     //查找5次
select * from user where password = 99 ;    //查找4次
select * from user where password = 52 ;    //查找5次

假设有1~9个数字要存储在二叉树中。由于二叉树的特点是,任一节点的左子节点都小于父节点,右子节点都大于父节点。当插入的数据是单向递增或递减时,二叉树就会变成线性结构,查询效率与链表就一致了

红黑树

为了解决二叉树变链表的问题,出现了红黑树。红黑树会做一个平衡。平衡后树的高度就变成了4层,相比于二叉树,效率更高。 但是红黑树依然存在瓶颈,以1000万条数据为例(树的高度大概是24),最坏的情况需要查找24次!查找24次是概念呢?,MySQL存储数据是存文件的,每次查找都需要读一次文件到内存,即最坏的查询情况需要读24次文件到内存,也就是24次IO操作,这是非常耗时的。

B树

因为树的高度问题,出现了B树(多路查找平衡树),B树的思路是多叉树。只要分叉越多,那么每一层可以存放的元素就越多,树的层级自然而然就会降低。那么分叉肯定是越多越好,最多可以多到什么程度呢?这取决于MySQL一页可存储的数据量是多少,我们可以通过SQL命令来查询:

可以看到MySQL默认一页是16384字节,大约是16kb。假设一条数据1KB为例,一颗高度为3的B树,可以存储的数据个数是 16 * 16 * 16 = 4096

B+树

我们知道Innodb的索引数据结构是B+树。可以我们看到B+树跟B树好像没有什么太大的差距,这里是数据量少的原因。B树效率高是因为分叉多,每行的节点变多了。通过计算高度为3的B树只能存放4096条数据,显然还待演进。

B树中的每个节点都包含指针和数据两部分,数据所占据的位置是较大的,我们是否可以考虑第一层第二层只存放指针,将数据都放到第三层。这样单个叶子节点可以存放的指针数量是 1170(16 * 1024 /(8+6))左右,那么高度为3的B+树就可以存储1170117016个数据(假设索引使用的是bigint类型(java中占8个字节),6是一个指针需要的空间)

细心的小伙伴会发现实际B+树的叶子节点之间会有一个单向的箭头,实际这里的箭头是双向的,图不对。这个箭头代表的是前后叶子节点的存储位置。索引是排序后的数据结构(大家可以观察第二行就是有序的)。比如查询语句select * from table where num < 5;查询时直接取5左边的数据即可,及大提高了效率。

可能有人会有这样的疑问:为什么不把所有的索引放第一层,这样只要两层不就好了吗? 原因如下

  1. 如果第一层有几百M数据,一次磁盘io也加载不了那么多数据
  2. ram中使用是折半查找,几千万数据也不会很快

哈希

我们一般讲索引都是B+树,实际MySQL中还有一种选择是hash。在查询时where后的条件是等值查询(=或in)下,hash的速度比B+树是要快的。B+树有3层,哈希只需要计算一次即可。

既然哈希效率这么快,为什么没有人使用呢?主要有两个原因:

  1. 使用场景少,实际场景范围查询更多
  2. 哈希会有哈希冲突

最左前缀原理

最左前缀原理就是当表设置了组合索引,那么必须满足最左边字段在前的规定,下面通过实际案例来看。

可以这么思考:索引这么好,为什么不每个字段都加个索引?实际加索引就会生成一颗索引树。大量的索引树是非常占用存储空间的。所以实际场景中一般都是组合索引用的比较多一点。假设上表中创建了组合索引(name,password)。那么以下sql是否会走这个组合索引的SQL。

select * from user where name = ? and password = ? ;
select * from user where password = ? and name = ? ;
select * from user where name = ?  ;
  1. 第一个SQL会走索:左边是name,后面是password,完美用上
  2. 第二个SQL不走索引:虽然两个字段都有,但是name在后
  3. 第三SQL会走索引:组合索引只要满足组合中的第一个字段即可

聚集索引与非聚集索引

实际场景中,表中虽然有些业务字段可以当做主键,但是一般不这么做。一般都是添加一列作为数据的主键。这个主键也叫聚集索引,是用来生成主键树的。innodb下这个主树上存有数据的,回主树的过程就称为回表。

如果建表时没有设置主键,那么数据库就尝试查找某个字段没有重复的,用这个字段生成主树。如果没有这样的字段,数据库会为我们生成一个rowid(隐藏列),使用隐藏列来生成主树。

学习时思考过的问题及答案

  1. 为什么线性结构不用二分查找:因为数据是读到内存里,数据量大的情况下内存放不放的下是个问题
  2. 红黑树,二叉平衡树层级高。两千万数据大概32层,32次IO是否能接收:磁盘IO是非常耗时的操作,是从文件中读数据到内存中
  3. B树采用空间换时间:将原来32层变成3层。增加了每次读到内存里数据的多少,减少了树的高度(即减少了时间)
  4. 辅助索引为什么不存所有数据?存两份一样的数据没有意义,还要考虑两棵树的数据同步问题
  5. 回表会增加几次IO:具体看主树的层级,如果三层就是3次