力扣JS 19. 删除链表的倒数第 N 个结点 面试题 02.07. 链表相交

111 阅读2分钟

LC 19. 删除链表的倒数第 N 个结点

给你一个链表,删除链表的倒数第 n 个结点,并且返回链表的头结点。

示例 1:

输入:head = [1,2,3,4,5], n = 2
输出:[1,2,3,5]

示例 2:

输入:head = [1], n = 1
输出:[]

示例 3:

输入:head = [1,2], n = 1
输出:[1]

解题思路:设置快慢指针,让快指针先走 n ,然后快慢指针再一起往后走,直到快指针走到最后一个节点的时候 ,慢指针的下一个节点就是要删除的节点

代码

var removeNthFromEnd = function(head, n) {
    let fast = head, slow = head; //快慢指针
    while(n--) { //让快指针指向 n 个节点后的节点,快慢指针中间就间隔 n
        fast = fast.next;
    }
    if(!fast) { //如果 fast 为null 的话,说明 n 和链表长度一样。删除的节点就为头结点
        return head.next
    }
    while(fast.next != null) { //如果快指针没有走到最后一位,那么快慢指针就一起往后走。
        slow = slow.next;
        fast = fast.next;
    }
    slow.next = slow.next.next; //当快指针指向最后一个节点的时候,慢指针的下一个节点刚好就是要删除的节点
    return head;
};

LC 面试题 02.07. 链表相交

给你两个单链表的头节点 headA 和 headB ,请你找出并返回两个单链表相交的起始节点。如果两个链表没有交点,返回 null 。

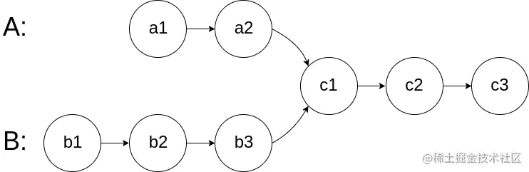
图示两个链表在节点 c1 开始相交:

img

题目数据 保证 整个链式结构中不存在环。

注意,函数返回结果后,链表必须 保持其原始结构 。

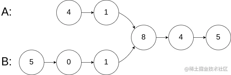
示例 1

img

输入:intersectVal = 8, listA = [4,1,8,4,5], listB = [5,0,1,8,4,5], skipA = 2, skipB = 3
输出:Intersected at '8'
解释:相交节点的值为 8 (注意,如果两个链表相交则不能为 0)。
从各自的表头开始算起,链表 A[4,1,8,4,5],链表 B[5,0,1,8,4,5]。
在 A 中,相交节点前有 2 个节点;在 B 中,相交节点前有 3 个节点。

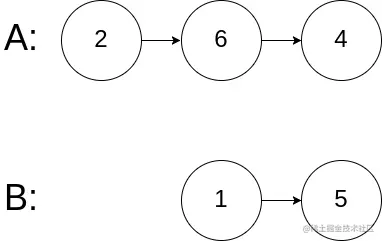
示例 2:

img

输入:intersectVal = 0, listA = [2,6,4], listB = [1,5], skipA = 3, skipB = 2
输出:null
解释:从各自的表头开始算起,链表 A[2,6,4],链表 B[1,5]。
由于这两个链表不相交,所以 intersectVal 必须为 0,而 skipA 和 skipB 可以是任意值。
这两个链表不相交,因此返回 null 。

解题思路:将其中一个表遍历放进哈希表中,然后遍历另一个表跟哈希表内的值比对,一样的就返回这个值,没有一样的就返回 null

代码:

var getIntersectionNode = function(headA, headB) {
    const map = new Set(); //创建一个哈希表
    let temp = headA;
    while(temp !== null) { //遍历表A,将A放进去哈希表中
        map.add(temp);
        temp = temp.next;
    }
    temp = headB;
    while(temp !== null) {  //遍历表B, 查看哈希表中有没有一样的值,有就返回这个值,没有就返回 null
        if(map.has(temp)) {
            return temp;
        }
        temp = temp.next;
    }
    return null;
};

\