leetcode 142. Linked List Cycle II 环形链表 II

208 阅读2分钟

一、题目大意

leetcode.cn/problems/li…

给定一个链表的头节点  head ,返回链表开始入环的第一个节点。 如果链表无环,则返回 null。 如果链表中有某个节点,可以通过连续跟踪 next 指针再次到达,则链表中存在环。 为了表示给定链表中的环,评测系统内部使用整数 pos 来表示链表尾连接到链表中的位置(索引从 0 开始)。如果 pos 是 -1,则在该链表中没有环。注意:pos 不作为参数进行传递,仅仅是为了标识链表的实际情况。 不允许修改 链表。

示例 1:

image.png

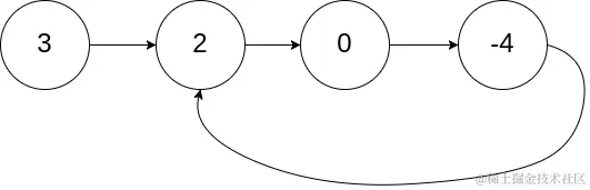
输入:head = [3,2,0,-4], pos = 1 输出:返回索引为 1 的链表节点 解释:链表中有一个环,其尾部连接到第二个节点。

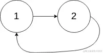
示例 2:

image.png

输入:head = [1,2], pos = 0 输出:返回索引为 0 的链表节点 解释:链表中有一个环,其尾部连接到第一个节点。

示例 3:

image.png

输入:head = [1], pos = -1 输出:返回 null 解释:链表中没有环。

提示:

  • 链表中节点的数目范围在范围 [0, 104] 内
  • -105 <= Node.val <= 105
  • pos 的值为 -1 或者链表中的一个有效索引

进阶:你是否可以使用 O(1) 空间解决此题?

二、解题思路

找链表环路问题有通用的解法,快慢指针。大概思路就是定义两个指针fast,slow初始都指向链表头,fast每次走2步,slow每次走1步,如果fast可以走到头说明没有环路,如果fast可以无限走下去说明有环路,且一定存在一个时刻fast与slow相遇。当fast和slow第一次相遇时将fast重新移到链表头,并让fast和slow每次都前进1步,当fast和slow再次相遇时的节点就是环路开始的节点。

三、解题方法

3.1 Java实现

public class Solution {
    public ListNode detectCycle(ListNode head) {
        ListNode fast = head;
        ListNode slow = head;
        do {
            if (fast == null || fast.next == null) {
                return null;
            }
            fast = fast.next.next;
            slow = slow.next;
        } while (fast != slow);
        fast = head;
        while (fast != slow) {
            fast = fast.next;
            slow = slow.next;
        }
​
        return fast;
    }
​
    static class ListNode {
        int val;
        ListNode next;
​
        ListNode(int x) {
            val = x;
            next = null;
        }
    }
}

四、总结小记

  • 2022/5/19 某一类型问题如果有成熟的解决思路能去解决,就要掌握这种思路,我们要学会站在巨人的肩上成长