力扣算法JS LC [203. 移除链表元素] LC [206. 反转链表]

123 阅读1分钟

LC 203. 移除链表元素

给你一个链表的头节点 head 和一个整数 val ,请你删除链表中所有满足 Node.val == val 的节点,并返回 新的头节点 。

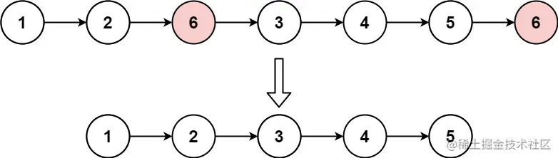
示例 1: img

输入:head = [1,2,6,3,4,5,6], val = 6
输出:[1,2,3,4,5]

示例 2:

输入:head = [], val = 1
输出:[]

示例 3:

输入:head = [7,7,7,7], val = 7
输出:[]

解题思路:创建一个虚拟节点,然后使用迭代不断的删除所有节点值等于特定值的节点

代码

var removeElements = function(head, val) {
    let ret = new ListNode(0, head) //创建一个虚拟节点
    let cur = ret.next  //当前要遍历的节点
    let pre = ret  //当前节点的前驱结点
    while(cur != null) {
        if(cur.val == val) pre.next = cur.next  //值相等的话,将前驱结点的指针指向当前节点的下一个节点
        else pre = cur  //前驱结点等于当前节点
        cur = cur.next //当前节点指向下一节点
    }
    return ret.next
};

LC 206. 反转链表

给你单链表的头节点 head ,请你反转链表,并返回反转后的链表。

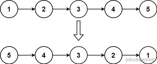
示例 1:

img

输入:head = [1,2,3,4,5]
输出:[5,4,3,2,1]

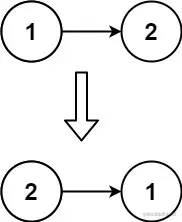
示例 2:

img

输入:head = [1,2]
输出:[2,1]

解题思路:通过递归,让当前节点指针指向前驱节点。然后前驱结点和当前节点同时往后移一位

代码:

var reverseList = function(head) {
    let pre = null; //前驱结点
    let cur = head; //当前节点
    while(cur != null) {
        const node = cur.next; //中间节点,存储当前节点的下一个节点
        cur.next = pre; //让当前节点的指针指向上一个节点
        pre = cur; //前驱结点等于当前节点
        cur = node; //当前节点等于前节点的下一个节点
    }
    return pre;
};

\