vue中key的原理

1,423 阅读4分钟

一、Key是什么

开始之前,我们先还原两个实际工作场景

  1. 当我们在使用v-for时,需要给单元加上key
<ul>
    <li v-for="item in items" :key="item.id">...</li>
</ul>
  1. +new Date()生成的时间戳作为key,手动强制触发重新渲染
<Comp :key="+new Date()" />

那么这背后的逻辑是什么,key的作用又是什么?
一句话来讲
key是给每一个vnode的唯一id,也是diff的一种优化策略,可以根据key,更准确, 更快的找到对应的vnode节点

场景背后的逻辑

当我们在使用v-for时,需要给单元加上key

  • 如果不用key,Vue会采用就地复地原则:最小化element的移动,并且会尝试尽最大程度在同适当的地方对相同类型的element,做patch或者reuse。
  • 如果使用了key,Vue会根据keys的顺序记录element,曾经拥有了key的element如果不再出现的话,会被直接remove或者destoryed 用+new Date()生成的时间戳作为key,手动强制触发重新渲染
  • 当拥有新值的rerender作为key时,拥有了新key的Comp出现了,那么旧key Comp会被移除,新key Comp触发渲染

二、设置key与不设置key区别

举个例子:
创建一个实例,2秒后往items数组插入数据

<body>
  <div id="demo">
    <p v-for="item in items" :key="item">{{item}}</p>
  </div>
  <script src="../../dist/vue.js"></script>
  <script>
    // 创建实例
    const app = new Vue({
      el: '#demo',
      data: { items: ['a', 'b', 'c', 'd', 'e'] },
      mounted () {
        setTimeout(() => { 
          this.items.splice(2, 0, 'f')  // 
       }, 2000);
     },
   });
  </script>
</body>

在不使用key的情况,vue会进行这样的操作:

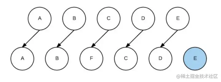
image.png 分析下整体流程:

  • 比较A,A,相同类型的节点,进行patch,但数据相同,不发生dom操作
  • 比较B,B,相同类型的节点,进行patch,但数据相同,不发生dom操作
  • 比较C,F,相同类型的节点,进行patch,数据不同,发生dom操作
  • 比较D,C,相同类型的节点,进行patch,数据不同,发生dom操作
  • 比较E,D,相同类型的节点,进行patch,数据不同,发生dom操作
  • 循环结束,将E插入到DOM中 一共发生了3次更新,1次插入操作

在使用key的情况:vue会进行这样的操作:

  • 比较A,A,相同类型的节点,进行patch,但数据相同,不发生dom操作
  • 比较B,B,相同类型的节点,进行patch,但数据相同,不发生dom操作
  • 比较C,F,不相同类型的节点
    • 比较E、E,相同类型的节点,进行patch,但数据相同,不发生dom操作
  • 比较D、D,相同类型的节点,进行patch,但数据相同,不发生dom操作
  • 比较C、C,相同类型的节点,进行patch,但数据相同,不发生dom操作
  • 循环结束,将F插入到C之前 一共发生了0次更新,1次插入操作
    通过上面两个小例子,可见设置key能够大大减少对页面的DOM操作,提高了diff效率

设置key值一定能提高diff效率吗?

其实不然,文档中也明确表示
当 Vue.js 用 v-for 正在更新已渲染过的元素列表时,它默认用“就地复用”策略。如果数据项的顺序被改变,Vue 将不会移动 DOM 元素来匹配数据项的顺序, 而是简单复用此处每个元素,并且确保它在特定索引下显示已被渲染过的每个元素
这个默认的模式是高效的,但是只适用于不依赖子组件状态或临时 DOM 状态 (例如:表单输入值) 的列表渲染输出
建议尽可能在使用 v-for 时提供 key,除非遍历输出的 DOM 内容非常简单,或者是刻意依赖默认行为以获取性能上的提升

三、原理分析

源码位置:core/vdom/patch.js
里判断是否为同一个key,首先判断的是key值是否相等如果没有设置key,那么keyundefined,这时候undefined是恒等于undefined

function sameVnode (a, b) {
    return (
        a.key === b.key && (
            (
                a.tag === b.tag &&
                a.isComment === b.isComment &&
                isDef(a.data) === isDef(b.data) &&
                sameInputType(a, b)
            ) || (
                isTrue(a.isAsyncPlaceholder) &&
                a.asyncFactory === b.asyncFactory &&
                isUndef(b.asyncFactory.error)
            )
        )
    )
}

updateChildren方法中会对新旧vnode进行diff,然后将比对出的结果用来更新真实的DOM

function updateChildren (parentElm, oldCh, newCh, insertedVnodeQueue, removeOnly) {
    ...
    while (oldStartIdx <= oldEndIdx && newStartIdx <= newEndIdx) {
        if (isUndef(oldStartVnode)) {
            ...
        } else if (isUndef(oldEndVnode)) {
            ...
        } else if (sameVnode(oldStartVnode, newStartVnode)) {
            ...
        } else if (sameVnode(oldEndVnode, newEndVnode)) {
            ...
        } else if (sameVnode(oldStartVnode, newEndVnode)) { // Vnode moved right
            ...
        } else if (sameVnode(oldEndVnode, newStartVnode)) { // Vnode moved left
            ...
        } else {
            if (isUndef(oldKeyToIdx)) oldKeyToIdx = createKeyToOldIdx(oldCh, oldStartIdx, oldEndIdx)
            idxInOld = isDef(newStartVnode.key)
                ? oldKeyToIdx[newStartVnode.key]
                : findIdxInOld(newStartVnode, oldCh, oldStartIdx, oldEndIdx)
            if (isUndef(idxInOld)) { // New element
                createElm(newStartVnode, insertedVnodeQueue, parentElm, oldStartVnode.elm, false, newCh, newStartIdx)
            } else {
                vnodeToMove = oldCh[idxInOld]
                if (sameVnode(vnodeToMove, newStartVnode)) {
                    patchVnode(vnodeToMove, newStartVnode, insertedVnodeQueue, newCh, newStartIdx)
                    oldCh[idxInOld] = undefined
                    canMove && nodeOps.insertBefore(parentElm, vnodeToMove.elm, oldStartVnode.elm)
                } else {
                    // same key but different element. treat as new element
                    createElm(newStartVnode, insertedVnodeQueue, parentElm, oldStartVnode.elm, false, newCh, newStartIdx)
                }
            }
            newStartVnode = newCh[++newStartIdx]
        }
    }
    ...
}