数据结构链表(8)——奇偶链表

162 阅读2分钟

(一)需求

今儿还是链表中的一个算法——奇偶链表。

(二)奇偶链表

1、问题描述

给定单链表的头节点 head ,将所有索引为奇数的节点和索引为偶数的节点分别组合在一起,然后返回重新排序的列表。

第一个节点的索引被认为是 奇数 , 第二个节点的索引为 偶数 ,以此类推。

请注意,偶数组和奇数组内部的相对顺序应该与输入时保持一致。

你必须在 O(1) 的额外空间复杂度和 O(n) 的时间复杂度下解决这个问题。

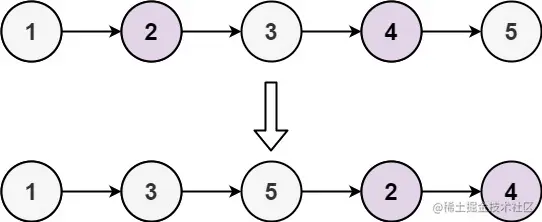
Demo1: img

输入: head = [1,2,3,4,5]
输出: [1,3,5,2,4]

Demo2: img

输入: head = [2,1,3,5,6,4,7]
输出: [2,3,6,7,1,5,4]

2、思路:

  1. 定义一个新的额外空间
  2. 逐个遍历原链表
  3. 将符合奇偶数据的节点,放到对应声明的变量中

fig1

3、代码

/**
 * Definition for singly-linked list.
 * class ListNode {
 *     val: number
 *     next: ListNode | null
 *     constructor(val?: number, next?: ListNode | null) {
 *         this.val = (val===undefined ? 0 : val)
 *         this.next = (next===undefined ? null : next)
 *     }
 * }
 */

function oddEvenList(head: ListNode | null): ListNode | null {
  if(head === null){
    return head
  }
  let evenHead = head.next; // 定义偶数头结点
  let odd = head // 定义奇数头结点
  let even = evenHead  // 定义偶数头结点
  while(even != null && even.next!=null){//去除不成奇偶对
    odd.next = even.next // 偶数的下一个,给了奇数初始头的下一个
    odd = odd.next // 奇数节点右移一位
    even.next = odd.next //奇数的下一个是偶数,给了新开队列的下一个
    even = even.next // 偶数节点右移一位
  }
  odd.next = evenHead // 奇数节点的末尾的下一个,是偶数节点头结点
  return head
};

空间复杂度将是 O(1) 时间复杂度将是 O(n)

以上

参考链接

leetcode.cn/leetbook/re…

写在最后的话

学习路上,常常会懈怠

《有想学技术需要监督的同学嘛~》 mp.weixin.qq.com/s/FyuddlwRY…