机器学习之异常检测 与 主成分分析(PCA)

598 阅读1分钟

一、异常检测

image.png

image.png

求解概率密度

image.png

一维情况下 高斯分布异常检测

image.png

高维境况下 高斯分布异常检测

image.png

image.png

image.png

异常数据检测 实战

(右为 X1数据分布) image.png (计算X1的高斯分布函数) image.png (直接通过模型调用实习异常数据检测) image.png

二、主成分分析 <-- 数据降维主要技术

数据降维

image.png

image.png

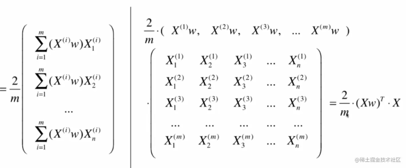
主成分分析(PCA)

image.png

image.png

image.png

(二维)向量点乘既可以通过[公式]也可以通过[公式]来计算

可以这样理解,在直角坐标系中\
a=(x1,y1),b=(x2,y2),其中x1,x2,y1,y2为坐标值\
取x轴和y轴的单位向量为i和j,直角坐标系下满足,i*j=0,因为正交,i*i=j*j=1,因为是单位向量\
那么a=x1*i+y1*j,b=x2*i+y2*j\
那么a*b=(x1*i+y1*j)*(x2*i+y2*j)=x1x2*1+y1y2*1+o*(x1y2+y1x2)=x1x2+y1y2

image.png

image.png

image.png

image.png

image.png

image.png