3. 反转链表【LC206】

129 阅读1分钟

题目: 给你单链表的头节点 head ,请你反转链表,并返回反转后的链表。

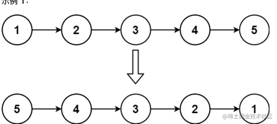
示例 1:

image.png 输入:head = [1,2,3,4,5] 输出:[5,4,3,2,1]

示例 2:

输入:head = [1,2] 输出:[2,1]

示例 3:

输入:head = [] 输出:[]  

关键思路:

理解一下,一个链表要反转,首先要将全部节点遍历一遍,这种规范的情况下,最好就是实用while进行数据深层遍历。

1)顺序取链表所有节点,并将当前节点的next直接指向newHead(新构造的链表); 出于性能的考虑,不是重新构造所有节点,只是重塑节点间的指向。

2)这就有一个问题,当前节点p既需要向后重新赋值p.next,又需要重置next指向。怎么解决呢?加一个临时堆空间q,来临时放置当前节点。

image.png

解:

/**
 * Definition for singly-linked list.
 */
 function ListNode(val, next) {
     this.val = (val===undefined ? 0 : val)
     this.next = (next===undefined ? null : next)
 }
 
/**
 * @param {ListNode} head
 * @return {ListNode}
 */
function reverseList(head) {
  const newHead = null;
  const q = null;
  while (head) {
    q = head; // 当前节点
    head = head.next; // 当前节点后移
    q.next = newHead// 当前节点的next重新指向当前newHead
    newHead = q // 更新newHead
  }
  return newHead;
}

———— 前端、Javascript实现、算法、刷题、leetcode