机器学习之线性回归

240 阅读1分钟

image.png

image.png

image.png

image.png

image.png

image.png

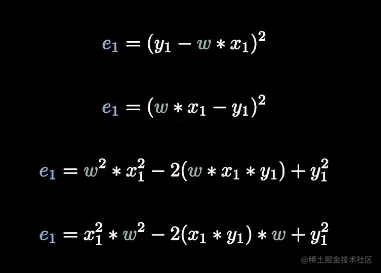
e 为 代价函数 时 二次函数, a为平方和, 开口向上 , 自变量为 w 即要求拟合函数的参数,所以就是找此函数最小值时 w 取值

image.png

image.png

image.png

image.png

image.png