基于 R 语言的科研论文绘图技巧详解(4)

2,290 阅读7分钟

简介

在查阅文献的过程中,看到了几幅非常不错的出版图,今天就跟着小编一起学习下,他们是怎么使用 R 绘制出来的。

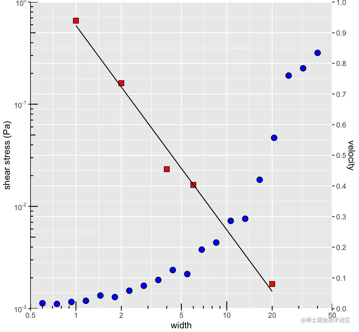
今天主要介绍 第四幅图(D) —— 实现双 Y 轴,并且添加坐标轴的微小刻度线。这个图在科研绘图中较为常用,例如:将算法的收敛情况和计算所耗时间同时绘制。

前三幅图的详细代码介绍可见:基于 R 语言的科研论文绘图技巧详解(3)基于 R 语言的科研论文绘图技巧详解(2)基于 R 语言的科研论文绘图技巧详解(1) 。后面几幅图会一一介绍,读者在学习过程中,可以将内部学到的知识点应用到自己的图形绘制中。推文已经将主要知识点进行罗列,更有利于读者学习和查阅。

那我们来看看,作者是怎么实现这个功能的吧,本文知识点较多,大家耐心学习,建议自己实践。对应代码、数据可在 GitHub - marco-meer/scifig_plot_examples_R: Scientific publication figure plotting examples with R 中找到。

主要知识点

  • 实现双 Y 轴;
  • 学会修改坐标轴为对数尺度;
  • 添加坐标轴的微小刻度线。

绘图

加载包

首先加载一些需要使用到的包。

library(ggplot2) # Grammar of graphics

设置主题

接下来,为了方便起见,作者在绘图前设置好了主题,并将该函数命名为 my_theme

这一部分在第一篇推文给出,代码将在文末中完整代码给出。

手动修改大部分面板,具体可以参考本篇文章。或者观看我在 B 站发布的《R 语言可视化教程》,里面也有一些简单主题设置介绍。

导入数据

首先使用 read.csv() 导入数据,其中一个数据前几行如下所示。

data_D1 = read.csv("./data_D1.csv")
data_D2 = read.csv("./data_D2.csv")
# format data to ggplot's liking
data_D = data.frame("width"=c(data_D1$width,data_D2$width),
                    "unit"=c(rep("shear_stress",nrow(data_D1)),
                             rep("velocity",nrow(data_D2))),
                    "value"=c(data_D1$shear_stress,data_D2$velocity)
)
head(data_D)
#   width         unit      value
# 1  20.0 shear_stress 0.00174000
# 2   6.0 shear_stress 0.01622000
# 3   2.0 shear_stress 0.16065000
# 4   1.0 shear_stress 0.65696000
# 5   4.0 shear_stress 0.02312000
# 6   0.6     velocity 0.01726544

这里得到的数据,一共有三列,两个数据集的值在 value 中,width 放了两个数据集各自的widthunit 为离散数据。

绘图步骤详解

关键在于如何构建双 Y 轴,下面来看看作者是怎么设置的吧。

绘制单轴

首先,处理下第一个线性图所需要的数据,一共是两列。

curve_D1 = data.frame(width=data_D1$width,
                      shear_stress=33.28/(pi*18*data_D1$width^2))
curve_D1
#  width shear_stress
# 1    20  0.001471299
# 2     6  0.016347767
# 3     2  0.147129903
# 4     1  0.588519612
# 5     4  0.036782476

这里绘制,小编带大家一步步解释,尤其注意作者的思想。

顺便提一下,很多公众号只是给了搬运的代码,但是并没有解释其中的奥秘。这对于初学者而言,就很难理解了。小编这个系列就是带大家一起学习作者画图思路。学会融会贯通,用到自己的科研绘图中。

先简单绘制出线性图,可以看到:在x轴附近,y轴下降的很快。

ggplot(data=data_D1, aes(x=width,y=shear_stress)) + 
  geom_point(fill="red",size=3,pch=22) +
  geom_line(data=curve_D1)

我们可以对其做下对数变换,使得数据呈线性形式。使用 scale_x_log10()scale_y_log10() 对刻度进行对数变换。内部参数这里不做解释,大家看着修改,就知道内部含义了。

scale_x_log10(expand=c(0,0), 
              breaks=c(0.5,1,2,5,10,20,50),
              labels=c(0.5,1,2,5,10,20,50), 
              limits=c(0.5,50)) +
scale_y_log10(expand = c(0, 0),
              labels = trans_format('log10', math_format(10^.x)), 
              breaks=c(0.001,0.01,0.1,1),
              limits = c(0.001,1))

之后,我们对主题进行调整。尤其注意这里的 annotation_logticks(sides = "l"),这个代码可以增加了对数坐标轴的标记。

  annotation_logticks(sides = "l") +
  theme_void()+
  theme(
    line = element_blank(),
    # exclude everything outside axes bc it messes with positioning of grob in panel_D
    text = element_blank(),
    title = element_blank(),
    axis.line.y = element_line(colour = "black")
  ) +
  ylab("shear stress (Pa)")

添加到另一张图形中

之后,将前面的图添加到另一张线性图中。首先把另一张图绘制出来:

ggplot(data=data_D2, aes(x=width,y=velocity))+ 
  geom_point(fill="blue",size=3,pch=21) 

之后使用 annotation_custom(ggplotGrob(panel_D1)) 将前面那幅图添加到该图中。此时结果如下:

注意: annotation_custom()是一个特殊的集合对象,用于静态注释。注释不会影响缩放。

这时,恭喜你两幅图已经合并啦!但是存在几个问题:

  1. 两幅图的 Y 轴重复了。这时候使用 scale_y_continuous() 将 Y 轴位置往右放置(position = "right")。

  2. 但是变换完之后,左边的标签不见了,而左边的 Y 轴就是第一幅图得到的结果,我们需要添加缺失的标签。处理方式为:使用 sec.axis = sec_axis(~., name = "shear stress (Pa)",breaks=rescale(c(-3,-2,-1,0), to = c(0,1)),labels = c(expression("10"^"-3","10"^"-2", "10"^"-1", "10"^"0")))) 手动添加坐标标签和数值。

  3. 两幅图的 x 轴不一致,使用 scale_x_log10() 修改结果。

  4. 使用 annotation_logticks(sides = "b") 添加 x 轴的 ticks。

所以,如果你想使用这里的代码,你还是需要一定能力看懂这些代码的~ 小编已经教会你们啦~以后要学会根据自己的结果更改代码噢~

  scale_y_continuous(expand = c(0,0),
                     breaks = seq(0,1,0.1),
                     limits = c(0,1), 
                     position = "right", 
                     sec.axis = sec_axis(~., 
                                         name = "shear stress (Pa)",breaks=rescale(c(-3,-2,-1,0),  to = c(0,1)),labels = c(expression("10"^"-3","10"^"-2", "10"^"-1", "10"^"0")))) +
  scale_x_log10(expand=c(0,0),
                breaks=c(0.5,1,2,5,10,20,50),
                labels=c(0.5,1,2,5,10,20,50), 
                limits=c(0.5,50)) + 
  annotation_logticks(sides = "b")

后面就是添加一些线段,文字以及修改主题啦~前面几个推送都已经介绍过了,这里不做解释了。

  my_theme() + 
  geom_line(color="blue") +
  geom_vline(xintercept = 1.1,
             linetype="dashed") +
  geom_hline(yintercept = 0.9,
             linetype="dashed") +
  theme(
    plot.margin = unit(c(0.1,0,0,0.5), "cm"), # to match other panels
    axis.title.y = element_text(margin = margin(r=1)), 
    axis.text.y = element_text(margin = margin(r=6)),
    axis.text.y.right = element_text(margin = margin(l=7)),
    axis.title.y.right = element_text(angle = 90)
  ) +
  xlab(expression(lumen~width~(mu*m))) +
  ylab("relative flow velocity") + 
  annotate(geom = "text",x =6 ,y =0.85 ,label = "tau == 0.5~Pa",parse=T) +
  annotate(geom = "text",x =1.4 ,y =0.4 ,label = "b == 1.1*mu*m",parse=T,angle=90) +
  annotate(geom = "text",x =5.6 ,y =0.6 ,label = "tau == frac(4*mu*Q,pi*a*b^2)",parse=T) 

完整代码

library(ggplot2) 
base_size = 12 
my_theme <-  function() {
  theme(
    aspect.ratio = 1,
    axis.line =element_line(colour = "black"),  
    
    # shift axis text closer to axis bc ticks are facing inwards
    axis.text.x = element_text(size = base_size*0.8, color = "black", 
                               lineheight = 0.9,
                               margin=unit(c(0.3,0.3,0.3,0.3), "cm")), 
    axis.text.y = element_text(size = base_size*0.8, color = "black", 
                               lineheight = 0.9,
                               margin=unit(c(0.3,0.3,0.3,0.3), "cm")),  
    
    axis.ticks = element_line(color = "black", size  =  0.2),  
    axis.title.x = element_text(size = base_size, 
                                color = "black", 
                                margin = margin(t = -5)), 
    # t (top), r (right), b (bottom), l (left)
    axis.title.y = element_text(size = base_size, 
                                color = "black", angle = 90,
                                margin = margin(r = -5)),  
    axis.ticks.length = unit(-0.3, "lines"),  
    legend.background = element_rect(color = NA, 
                                     fill = NA), 
    legend.key = element_rect(color = "black",  
                              fill = "white"),  
    legend.key.size = unit(0.5, "lines"),  
    legend.key.height =NULL,  
    legend.key.width = NULL,      
    legend.text = element_text(size = 0.6*base_size, 
                               color = "black"),  
    legend.title = element_text(size = 0.6*base_size, 
                                face = "bold", 
                                hjust = 0, 
                                color = "black"),  
    legend.text.align = NULL,  
    legend.title.align = NULL,  
    legend.direction = "vertical",  
    legend.box = NULL, 
    panel.background = element_rect(fill = "white", 
                                    color  =  NA),  
    panel.grid.major = element_blank(),
    panel.grid.minor = element_blank(),
    plot.title = element_text(size = base_size, 
                              color = "black"), 
  ) 
  
  
}

data_D1 = read.csv("./data_D1.csv")
data_D2 = read.csv("./data_D2.csv")
# format data to ggplot's liking
data_D = data.frame("width"=c(data_D1$width,data_D2$width),
                    "unit"=c(rep("shear_stress",nrow(data_D1)),
                             rep("velocity",nrow(data_D2))),
                    "value"=c(data_D1$shear_stress,data_D2$velocity)
)
head(data_D)
curve_D1 = data.frame(width=data_D1$width,
                      shear_stress=33.28/(pi*18*data_D1$width^2))
curve_D1

panel_D1 <- ggplot(data=data_D1, 
                   aes(x=width,
                       y=shear_stress)) + 
  geom_point(fill="red",
             size=3,
             pch=22) +
  geom_line(data=curve_D1) +
  scale_x_log10(expand=c(0,0), # prevent gap between origin and first tick
                breaks=c(0.5,1,2,5,10,20,50),
                labels=c(0.5,1,2,5,10,20,50), 
                limits=c(0.5,50)) +
  scale_y_log10( expand = c(0, 0),
                 # using trans_format from the scales package, but one can also use expressions
                 labels = trans_format('log10', math_format(10^.x)), 
                 breaks=c(0.001,0.01,0.1,1),
                 limits = c(0.001,1)
  ) +
  annotation_logticks(sides = "l") +
  theme_void()+
  theme(
    line = element_blank(),
    # exclude everything outside axes bc it messes with positioning of grob in panel_D
    text = element_blank(),
    title = element_blank(),
    axis.line.y = element_line(colour = "black")
  ) +
  ylab("shear stress (Pa)")

panel_D1

panel_D <- 
  ggplot(data=data_D2, 
         aes(x=width,
             y=velocity))+ 
  # add plot of first dataset as grob as a trick to introduce two y-axes with different scalings
  geom_point(fill="blue",
             size=3,
             pch=21) +
  annotation_custom(ggplotGrob(panel_D1)) + 
  scale_y_continuous(expand = c(0,0),
                     breaks = seq(0,1,0.1),
                     limits = c(0,1), 
                     # putting the y axis of the second plot to the right
                     position = "right", 
                     # now the secondary axis becomes the left axis
                     # we need the axis text+title for panel_D1
                     # They were excluded in panel_D1 bc they were messing with the positioning
                     sec.axis = sec_axis(~., 
                                         name = "shear stress (Pa)",
                                         # rescale breaks bc sec_axis inherits scale from primary y axis
                                         breaks=rescale(c(-3,-2,-1,0), 
                                                        to = c(0,1)),
                                         labels = c(expression("10"^"-3",
                                                               "10"^"-2",
                                                               "10"^"-1",
                                                               "10"^"0")))
                     
  ) +
  scale_x_log10(expand=c(0,0),
                breaks=c(0.5,1,2,5,10,20,50),
                labels=c(0.5,1,2,5,10,20,50), 
                limits=c(0.5,50)) + 
  annotation_logticks(sides = "b") + 
  my_theme() + 
  geom_line(color="blue") +
  geom_vline(xintercept = 1.1,
             linetype="dashed") +
  geom_hline(yintercept = 0.9,
             linetype="dashed") +
  theme(
    plot.margin = unit(c(0.1,0,0,0.5), "cm"), # to match other panels
    axis.title.y = element_text(margin = margin(r=1)), 
    axis.text.y = element_text(margin = margin(r=6)),
    axis.text.y.right = element_text(margin = margin(l=7)),
    axis.title.y.right = element_text(angle = 90)
  ) +
  xlab(expression(lumen~width~(mu*m))) +
  ylab("relative flow velocity") + 
  annotate(geom = "text",x =6 ,y =0.85 ,label = "tau == 0.5~Pa",parse=T) +
  annotate(geom = "text",x =1.4 ,y =0.4 ,label = "b == 1.1*mu*m",parse=T,angle=90) +
  annotate(geom = "text",x =5.6 ,y =0.6 ,label = "tau == frac(4*mu*Q,pi*a*b^2)",parse=T) 

panel_D 

小编有话说

本文主要学到的知识点如下:

  1. 使用 annotation_custom(ggplotGrob()) 图中添加其他图形;
  2. 使用 scale_x_log10()scale_y_log10() 对刻度进行对数变换;
  3. 使用 annotation_logticks(sides = "b") 添加 x 轴的 ticks;
  4. 使用 scale_y_continuous(position = "right") 改变 Y 轴位置。

看完这篇文章,相信老板以后让你绘制双 Y 轴图,应该不在话下啦~ 如果觉得内容有用的话,小编写的有心的话。给小编来杯咖啡吧!动车上赶这篇推文也不容易额🤔