<数据结构>刷题笔记——链表篇(三)

128 阅读4分钟

本文已参与「新人创作礼」活动,一起开启掘金创作之路。

1. 链表分割

现有一链表的头指针 ListNode* pHead,给一定值x,编写一段代码将所有小于x的结点排在其余结点之前,且不能改变原来的数据顺序,返回重新排列后的链表的头指针。

解题思路:

题目描述就到此为止了,惊不惊喜意不意外。但别担心,我会尽力跟你们讲明白的。 在这里插入图片描述 就像这张图,比4小的数放到前面,并且相对位置不变,大于等于4的放到后面,相对位置也不变。 在原链表上捣鼓实在太混乱了,我就想到新开2个链表,一个放比x小的,另一个放大于等于x的,最后再将两个链表连接起来(新链表最好是带头的,不然会很窒息,太复杂了) 请添加图片描述 ==还有一个很重要的细节,如果是下图的情况,6到3的指向关系没有被改变,它跟新创建的指向关系共同形成了一个环,使程序死循环。对此我们让6指向NULL就能解决问题。== 在这里插入图片描述 水可载舟亦可覆舟,上一题借助保留的指向关系快速解题,这一题隐藏的指向关系成了陷阱,我们还是得认真分析,仔细思考,养成严谨的习惯,题做多了就有感觉了,不要着急。

class Partition {
public:
    ListNode* partition(ListNode* pHead, int x) {
        // write code here
        ListNode* lessHead,*lessTail, *greaterHead, *greaterTail;
        lessHead = lessTail = (ListNode*)malloc(sizeof(ListNode));
        greaterHead = greaterTail = (ListNode*)malloc(sizeof(ListNode));
        
        lessTail->next = greaterTail->next = NULL;
        ListNode* cur = pHead;
        while(cur)
        {
            if(cur->val < x)
            {
                lessTail->next = cur;
                lessTail = lessTail->next;
            }
            else
            {
                greaterTail->next = cur;
                greaterTail = greaterTail->next;
            }
            cur = cur->next;
        }
        
        lessTail->next = greaterHead->next;
        greaterTail->next = NULL;//使尾端指向NULL,防止形成环
        
        ListNode* list = lessHead->next;
        free(lessHead);
        free(greaterHead);
        return list;
    }
};

链接:

牛客CM11 链表分割

2. 相交链表

给你两个单链表的头节点 headA 和 headB ,请你找出并返回两个单链表相交的起始节点。如果两个链表不存在相交节点,返回 null 。

图示两个链表在节点 c1 开始相交:

在这里插入图片描述 题目数据 保证 整个链式结构中不存在环。 注意,函数返回结果后,链表必须 保持其原始结构 。

自定义评测: 评测系统 的输入如下(你设计的程序 不适用 此输入): intersectVal - 相交的起始节点的值。如果不存在相交节点,这一值为 0 listA - 第一个链表 listB - 第二个链表 skipA - 在 listA 中(从头节点开始)跳到交叉节点的节点数 skipB - 在 listB 中(从头节点开始)跳到交叉节点的节点数 评测系统将根据这些输入创建链式数据结构,并将两个头节点 headA 和 headB 传递给你的程序。如果程序能够正确返回相交节点,那么你的解决方案将被 视作正确答案 。

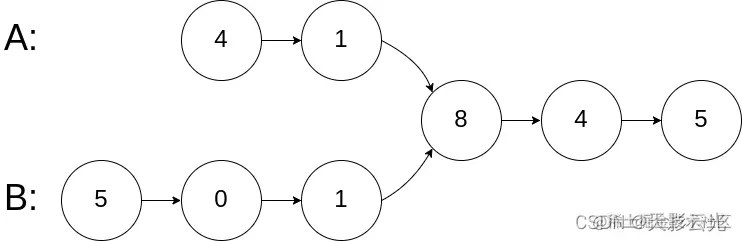
示例 1: 在这里插入图片描述 输入:intersectVal = 8, listA = [4,1,8,4,5], listB = [5,6,1,8,4,5], skipA = 2, skipB = 3 输出:Intersected at '8' 解释:相交节点的值为 8 (注意,如果两个链表相交则不能为 0)。 从各自的表头开始算起,链表 A 为 [4,1,8,4,5],链表 B 为 [5,6,1,8,4,5]。 在 A 中,相交节点前有 2 个节点;在 B 中,相交节点前有 3 个节点。

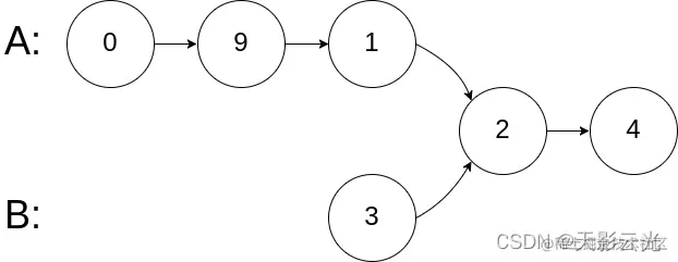
示例 2: 在这里插入图片描述 输入:intersectVal = 2, listA = [1,9,1,2,4], listB = [3,2,4], skipA = 3, skipB = 1 输出:Intersected at '2' 解释:相交节点的值为 2 (注意,如果两个链表相交则不能为 0)。 从各自的表头开始算起,链表 A 为 [1,9,1,2,4],链表 B 为 [3,2,4]。 在 A 中,相交节点前有 3 个节点;在 B 中,相交节点前有 1 个节点。

示例 3: 在这里插入图片描述输入:intersectVal = 0, listA = [2,6,4], listB = [1,5], skipA = 3, skipB = 2 输出:null 解释:从各自的表头开始算起,链表 A 为 [2,6,4],链表 B 为 [1,5]。 由于这两个链表不相交,所以 intersectVal 必须为 0,而 skipA 和 skipB 可以是任意值。 这两个链表不相交,因此返回 null 。

提示: listA 中节点数目为 m listB 中节点数目为 n 1 <= m, n <= 3 * 104 1 <= Node.val <= 105 0 <= skipA <= m 0 <= skipB <= n 如果 listA 和 listB 没有交点,intersectVal 为 0 如果 listA 和 listB 有交点,intersectVal == listA[skipA] == listB[skipB]

进阶:你能否设计一个时间复杂度 O(m + n) 、仅用 O(1) 内存的解决方案?

解题思路:

这么多字,让我来给你翻译一下,就是要你判断两个链表是否相交,如果相交就返回它们第一次相交的节点地址 思路嘛,就是先分别遍历到两个链表的结尾,如果结尾节点地址都不同,那它们俩就不可能相交(因为一旦相交就无法分离了,不可能结尾节点地址都不同)。 否则就用快慢指针去找它们第一次相交的节点地址,先让快指针走它们长度相差的步数,之后快慢指针一起走,它们第一次相同的地方就是要找的地址。

请添加图片描述

struct ListNode *getIntersectionNode(struct ListNode *headA, struct ListNode *headB) {
    struct ListNode* tailA, *tailB;
    int a = 1;
    int b = 1;
    tailA = headA;
    tailB = headB;
    //find tail
    while(tailA->next)
    {
        tailA = tailA->next;
        a++;
    }
    while(tailB->next)
    {
        tailB = tailB->next;
        b++;
    }
    if(tailA != tailB)
        return NULL;
    else
    {
        struct ListNode* longl = headB, *shortl = headA;
        if(a > b)
        {
            longl = headA;
            shortl = headB;
        }
        int c = abs(a - b);
        while(c--)
        {
            longl = longl->next;
        }
        while(longl)
        {
            if(longl == shortl)
            {
                return longl;
            }
            else
            {
                longl = longl->next;
                shortl = shortl->next;
            }
        }
    }
    return NULL;
}

链接:

力扣160. 相交链表

这一节我们介绍了快慢指针这一解题利器,还提到了相交链表、环形链表,之后还会出现更有趣的题目,敬请期待!