Mysql高频考点Top1(索引的数据结构对比与深度计算)

252 阅读7分钟

题目:索引的数据结构对比(hash、B树与B+树),为什么不用红黑树

出现频次:190

参考答案

题目分析:该题主要是考察每个数据结构的特点以及应用场景,想回答该题目,首先我们看看每个数据结构的定义与特点

先看一下每个树的特点

  1. 二叉查找树(BST):解决了排序的基本问题,但是由于无法保证平衡,可能退化为链表;
  2. 平衡二叉树(AVL):通过旋转解决了平衡的问题,但是旋转操作效率太低;
  3. 红黑树:通过舍弃严格的平衡和引入红黑节点,解决了AVL旋转效率过低的问题,但是在磁盘等场景下,树仍然太高,IO次数太多;
  4. B树:通过将二叉树改为多路平衡查找树,解决了树过高的问题;
  5. B+树:在B树的基础上,将非叶节点改造为不存储数据的纯索引节点,进一步降低了树的高度;此外将叶节点使用指针连接成链表,范围查询更加高效。
  6. hash最快 复杂度1,但是hash不支持范围索引
二叉查找树(BST)

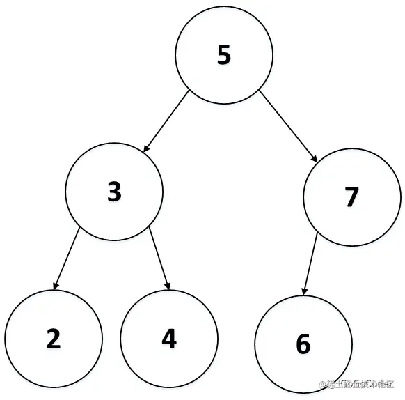
二叉查找树(BST,Binary Search Tree),也叫二叉排序树,在二叉树的基础上需要满足:任意节点的左子树上所有节点值不大于根节点的值,任意节点的右子树上所有节点值不小于根节点的值。如下是一颗BST。

Mysql索引,怎么使用这个结构?

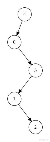
当需要快速查找时,将数据存储在BST是一种常见的选择,因为此时查询时间取决于树高,平均时间复杂度是O(lgn)。然而,BST可能长歪而变得不平衡,如下图所示,此时BST退化为链表,时间复杂度退化为O(n)。

为了解决这个问题,引入了平衡二叉树。

平衡二叉树(AVL):旋转耗时

AVL树是严格的平衡二叉树,所有节点的左右子树高度差不能超过1;AVL树查找、插入和删除在平均和最坏情况下都是O(lgn)。

AVL实现平衡的关键在于旋转操作:插入和删除可能破坏二叉树的平衡,此时需要通过一次或多次树旋转来重新平衡这个树。当插入数据时,最多只需要1次旋转(单旋转或双旋转);但是当删除数据时,会导致树失衡,AVL需要维护从被删除节点到根节点这条路径上所有节点的平衡,旋转的量级为O(lgn)。

由于旋转的耗时,AVL树在删除数据时效率很低;在删除操作较多时,维护平衡所需的代价可能高于其带来的好处,因此AVL实际使用并不广泛。

B树

定义:B树也称B-树(其中-不是减号,大家不要读成B减树),是为磁盘等辅存设备设计的多路平衡查找树,与二叉树相比,B树的每个非叶节点可以有多个子树。因此,当总节点数量相同时,B树的高度远远小于AVL树和红黑树(B树是一颗“矮胖子”),磁盘IO次数大大减少。

定义B树最重要的概念是阶数(Order),对于一颗m阶B树,需要满足以下条件:

  1. 每个节点最多包含 m 个子节点;
  2. 如果根节点包含子节点,则至少包含 2 个子节点;
  3. 除根节点外,每个非叶节点至少包含 m/2 个子节点。
  4. 拥有 k 个子节点的非叶节点将包含 k - 1 条记录。
  5. 所有叶节点都在同一层中。

可以看出,B树的定义,主要是对非叶结点的子节点数量和记录数量的限制。

B+树

定义:B+树也是多路平衡查找树,B+树也是多路平衡查找树,其与B树的区别主要在于:

  1. B树中每个节点(包括叶节点和非叶节点)都存储真实的数据,B+树中只有叶子节点存储真实的数据,非叶节点只存储键。

  2. B树中一条记录只会出现一次,不会重复出现,而B+树的键则可能重复重现——一定会在叶节点出现,也可能在非叶节点重复出现。

  3. B+树的叶节点之间通过双向链表链接。

  4. B树中的非叶节点,记录数比子节点个数少1;而B+树中记录数与子节点个数相同。

  5. 在MySQL中,这里所说的真实数据,可能是行的全部数据(如Innodb的聚簇索引),也可能只是行的主键(如Innodb的辅助索引),或者是行所在的地址(如MyIsam的非聚簇索引)。

    由此,B+树与B树相比,有以下优势:

  6. 更少的IO次数:B+树的非叶节点只包含键,而不包含真实数据,因此每个节点存储的记录个数比B数多很多(即阶m更大),因此B+树的高度更低,访问时所需要的IO次数更少。此外,由于每个节点存储的记录数更多,所以对访问局部性原理的利用更好,缓存命中率更高。

  7. 更适于范围查询:在B树中进行范围查询时,首先找到要查找的下限,然后对B树进行中序遍历,直到找到查找的上限;而B+树的范围查询,只需要对链表进行遍历即可。

  8. 更稳定的查询效率:B树的查询时间复杂度在1到树高之间(分别对应记录在根节点和叶节点),而B+树的查询复杂度则稳定为树高,因为所有数据都在叶节点。

  9. B+树也存在劣势:由于键会重复出现,因此会占用更多的空间。但是与带来的性能优势相比,空间劣势往往可以接受,因此B+树的在数据库中的使用比B树更加广泛。

B树或B+树与其他树优势对比

B树/B+树与红黑树等二叉树相比,最大的优势在于树高更小。实际上,对于Innodb的B+索引来说,树的高度一般在2-4层。

数据估算(也会被问到)

树的高度是由阶数决定的,阶数越大树越矮;而阶数的大小又取决于每个节点可以存储多少条记录。

Innodb中每个节点使用一个页(page),页的大小为16KB,其中元数据只占大约128字节左右(包括文件管理头信息、页面头信息等等),大多数空间都用来存储数据。

对于非叶节点,记录只包含索引的键和指向下一层节点的指针

假设每个非叶节点页面存储1000条记录,则每条记录大约占用16字节;当索引是整型或较短的字符串时,这个假设是合理的。

对于叶节点,记录包含了索引的键和值(值可能是行的主键、一行完整数据等,具体见前文),数据量更大。这里假设每个叶节点页面存储100条记录(实际上,当索引为聚簇索引时,这个数字可能不足100;当索引为辅助索引时,这个数字可能远大于100;可以根据实际情况进行估算)。

---延伸一下,我们经常听到建议说索引列长度不应过大,原因就在这里:索引列太长,每个节点包含的记录数太少,会导致树太高,索引的效果会大打折扣,而且索引还会浪费更多的空间。

对于一颗3层B+树,第一层(根节点)有1个页面,可以存储1000条记录;第二层有1000个页面,可以存储10001000条记录;第三层(叶节点)有10001000个页面,每个页面可以存储100条记录,因此可以存储10001000100条记录,即1亿条。而对于二叉树,存储1亿条记录则需要26层左右。