LeetCode 141. 环形链表 Linked List Cycle

107 阅读2分钟

Table of Contents

一、中文版

二、英文版

三、My answer

四、解题报告


一、中文版

给定一个链表,判断链表中是否有环。

为了表示给定链表中的环,我们使用整数 pos 来表示链表尾连接到链表中的位置(索引从 0 开始)。 如果 pos 是 -1,则在该链表中没有环。

 

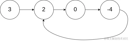
示例 1:

输入:head = [3,2,0,-4], pos = 1
输出:true
解释:链表中有一个环,其尾部连接到第二个节点。


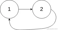
示例 2:

输入:head = [1,2], pos = 0
输出:true
解释:链表中有一个环,其尾部连接到第一个节点。


示例 3:

输入:head = [1], pos = -1
输出:false
解释:链表中没有环。

进阶:

你能用 O(1)(即,常量)内存解决此问题吗?

 

二、英文版

Given a linked list, determine if it has a cycle in it.

To represent a cycle in the given linked list, we use an integer pos which represents the position (0-indexed) in the linked list where tail connects to. If pos is -1, then there is no cycle in the linked list.

 

Example 1:

Input: head = [3,2,0,-4], pos = 1
Output: true
Explanation: There is a cycle in the linked list, where tail connects to the second node.


Example 2:

Input: head = [1,2], pos = 0
Output: true
Explanation: There is a cycle in the linked list, where tail connects to the first node.


Example 3:

Input: head = [1], pos = -1
Output: false
Explanation: There is no cycle in the linked list.

Follow up:

Can you solve it using O(1) (i.e. constant) memory?

来源:力扣(LeetCode)
链接:leetcode-cn.com/problems/li…
著作权归领扣网络所有。商业转载请联系官方授权,非商业转载请注明出处。

三、My answer

# Definition for singly-linked list.
# class ListNode:
#     def __init__(self, x):
#         self.val = x
#         self.next = None

class Solution:
    def hasCycle(self, head: ListNode) -> bool:
        if not head:
            return False
        slow = head
        fast = head
        while fast != None and fast.next != None:
            fast = fast.next.next
            slow = slow.next
            if slow == fast:
                return True
        return False
        

四、解题报告

快慢指针。

快指针一次走两步,慢指针一次走一步。

如果快慢指针会相遇,则说明有环,否则无环。