数据结构链表(5)——用双指针法删除链表倒数节点

146 阅读1分钟

(一)需求

双指针解决链表的问题,还是蛮有意思~ 继续做~

(二)用双指针法删除链表倒数节点

1、问题描述

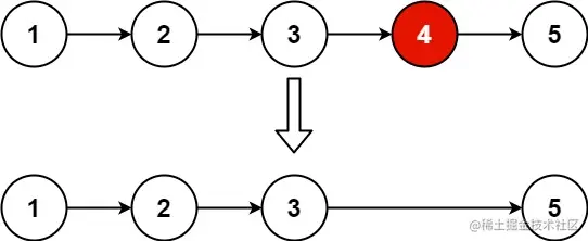
给你一个链表,删除链表的倒数第 n 个结点,并且返回链表的头结点。

img

输入:head = [1,2,3,4,5], n = 2
输出:[1,2,3,5]

2、思路:

  1. 定义快慢指针,快指针移动n个位置;
  2. fast 和 slow 同时移动,fast移动到最后一个节点时,slow的下一个节点就是要删除的节点

3、题目

/**
 * Definition for singly-linked list.
 * function ListNode(val, next) {
 *     this.val = (val===undefined ? 0 : val)
 *     this.next = (next===undefined ? null : next)
 * }
 */
/**
 * @param {ListNode} head
 * @param {number} n
 * @return {ListNode}
 */
var removeNthFromEnd = function(head, n) {
  let fast = head // 定义快指针
  let slow = head // 定义慢指针
  // 快指针移动n个位置
  while(n--){
    fast = fast.next
  }
  // 如果fast为null 那么说明删除的是第一个节点,返回第二个节点就OK
  if(!fast){
    head = head.next
    return head
  }
  // fast 和 slow 同时移动,fast移动到最后一个节点时,slow的下一个节点就是要删除的节点
  while(fast.next){
    fast = fast.next
    slow = slow.next
  }
  slow.next = slow.next.next
  return head
};

空间复杂度将是 O(1) 时间复杂度将是 O(n)

以上

参考链接

leetcode.cn/leetbook/re…

写在最后的话

学习路上,常常会懈怠

《有想学技术需要监督的同学嘛~》 mp.weixin.qq.com/s/FyuddlwRY…