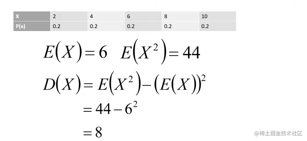
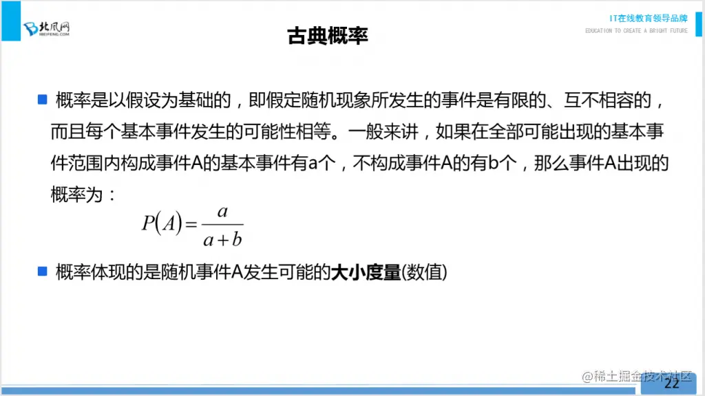
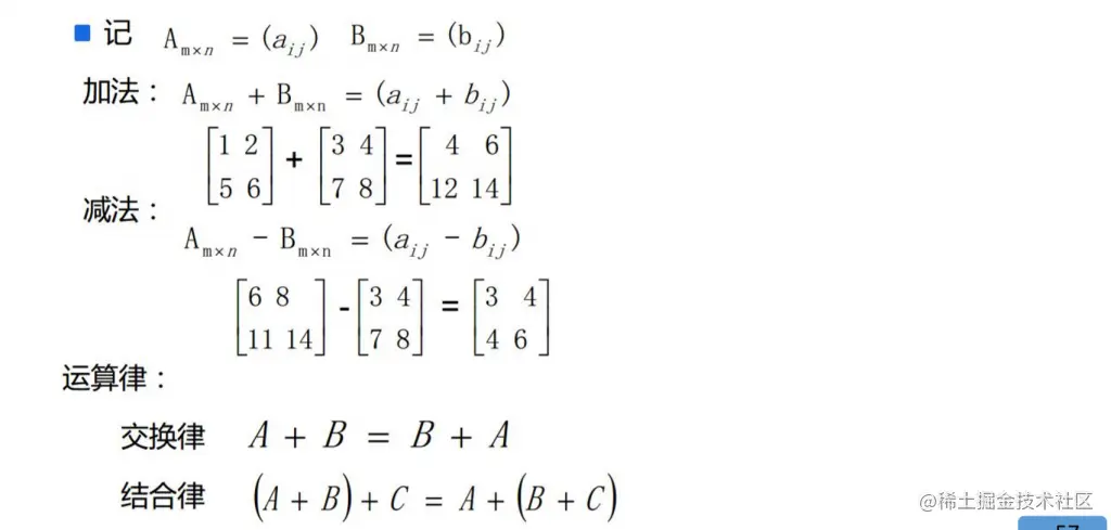
机器学习知识储备(数学) ClayBin 2022-05-12 266 阅读1分钟 相关文档 一 常见函数 二 导数、梯度 Taylor公式 三 联合概率、条件概率、全概率公式、贝叶斯公式 四 期望、方差、协方差 五 大数定理、中心极限定理! 六 最大似然估计(MLE) 七 向量、矩阵的运算 八 向量、矩阵的求导 九 SVD、QR分解